【前瞻技术布局】打破"沙漏“现象→提高生成式搜索/推荐的上限
作者:京东零售 王彗木
东方若晓,莫道君行早
EMNLP 2024: Breaking the Hourglass Phenomenon of Residual Quantization: Enhancing the Upper Bound of Generative Retrieval
paper链接: https://arxiv.org/abs/2407.21488v1
0 摘要
生成式搜索/推荐在搜索和推荐系统中已经成为一种创新的范式,它通过使用基于数值的标识符来提升效率和泛化能力。特别是在电子商务领域,像TIGER这样的方法使用基于残差量化的语义标识符(RQ-SID),表现出了很大的潜力。然而,RQ-SID面临一个被称为“沙漏”现象的问题,即中间码本令牌过于集中,限制了生成式搜索/推荐方法的全面发挥。本文通过研究发现,路径稀疏和长尾分布是造成这一问题的主要原因。我们通过一系列详细的实验和消融研究,分析了这些因素对码本利用率和数据分布的影响。结果表明,“沙漏”现象对RQ-SID的性能有显著影响。我们提出了一些有效的解决方案,成功改善了生成式任务在实际电子商务应用中的效果。
1 背景
在生成式搜索/推荐中,基于数值的标识符表示方法因其简单、高效和强大的泛化能力而在行业中被广泛采用,特别是在长行为序列推荐中。这些方法显著缩短了序列长度并加快了推理过程。值得注意的方法包括DSI、NCI、TIGER、GDR和GenRet。其中,TIGER方法通过残差量化(RQ)(Lee等,2022;Zeghidour等,2021)生成语义标识符(SID),有效捕捉了语义信息和层次结构。这种方法在以商品为主的电子商务场景中特别有优势,能够准确反映电子商务数据中固有的复杂层次关系和语义特征,从而显著提升推荐性能。
需要强调的是,基于RQ的方法的性能上限在很大程度上依赖于SID的生成,这也是本文分析和讨论的核心重点。
2 任务定义
基于现有常见的任务场景,定义如下任务【注意:任务形式不限于下列任务,只要是含有SID的任务均可】:该用户信息:年龄:age_2;性别:男性;会员状态:非会员。该用户的历史交互行为有:<xxx><xxx><xxx>,<xxx><xxx><xxx>……。该用户本次搜索的关键词为“XX鼠标”。请根据该用户信息、历史交互行为和本次搜索关键词,预测该用户接下来最可能购买的商品:<xxx><xxx><xxx>
3 RQ-VAE SID生成
SID生成,谷歌的TIGER方法用的比较广泛。它通过残差量化RQ生成语义标识符(SID),能够有效捕捉语义信息和层次结构。这种方法在以商品为主的电商场景中尤其有优势,因为它能够准确反映电商数据中的复杂层次关系和语义特征,从而显著提升推荐性能。
4 沙漏现象
在通过残差量化(RQ)生成的SID中,我们观察到了一种显著的“沙漏”现象。具体而言,中间层的码本过于集中,导致了一对多和多对一的映射结构。这种集中现象引发了路径的稀疏性和长尾分布问题。路径稀疏性是指匹配路径仅占总路径空间的一小部分,而长尾分布则意味着大多数SID集中在少数的头部标记上,中间层标记的分布呈现长尾特征。在具有长尾特征的数据集中,这种“沙漏”效应尤为明显,显著限制了生成式搜索推荐方法的表示能力。问题的根源在于逐步量化高维向量残差的内在特性。基于此,我们对该现象进行了深入的理论与实验分析,并提出了相应的解决方案。
4.1 沙漏现象可视化
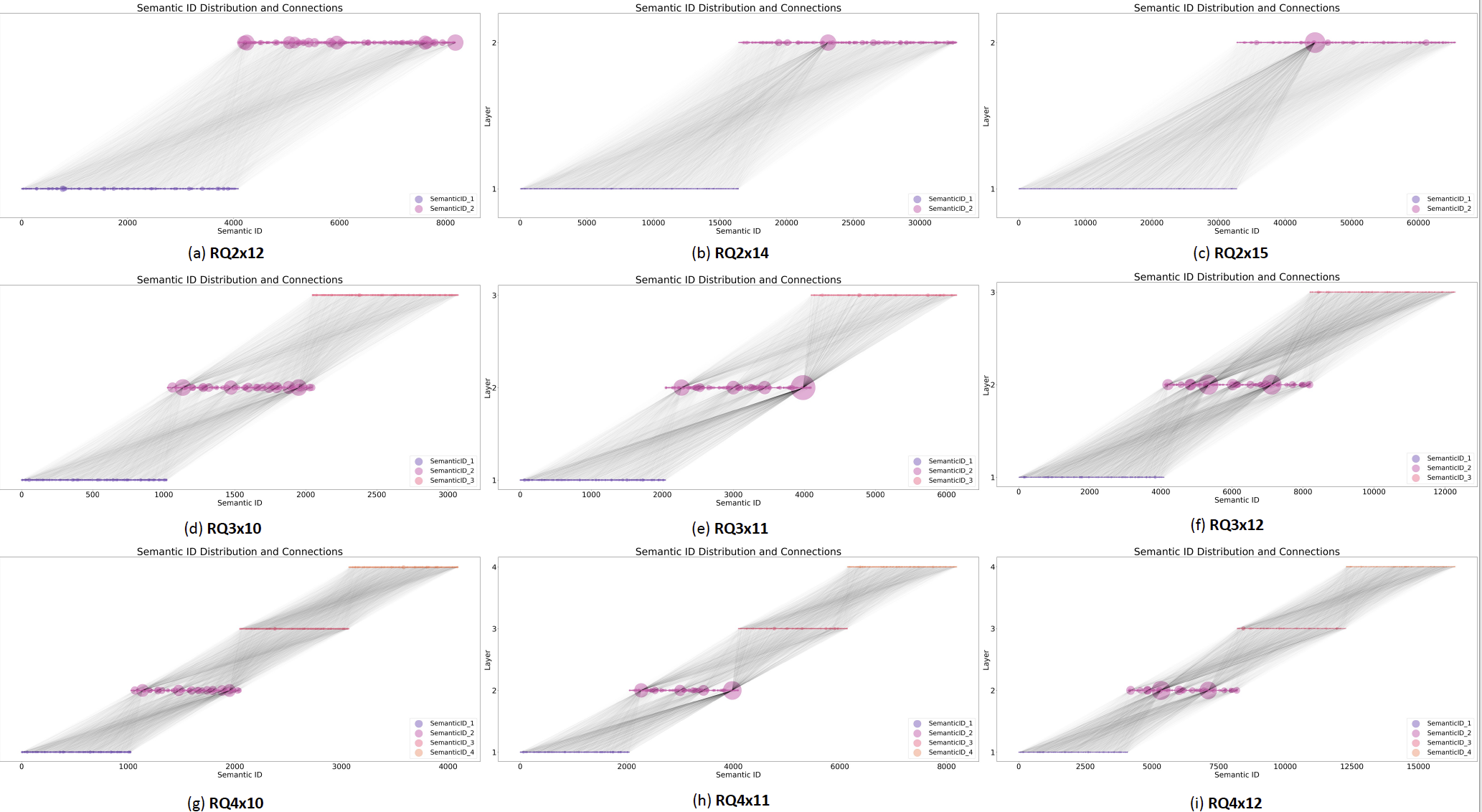
为了生成语义ID,我们首先利用公司内部数十亿条搜索日志中的查询-商品数据,训练了双塔模型(如DSSM和BERT等)。接着,通过商品塔获取了数亿商品的嵌入向量,最终采用残差量化(RQ)方法为所有商品生成了语义ID。
生成语义ID后,对所有商品进行了聚合,并计算了三层分布图。如上图所示,可以看到第二层集中有大量路由节点,整体分布呈现“沙漏”现象。为了验证这一现象的普遍性,我们在不同参数组合下进行了多次可视化实验,沙漏效应非常显著,三层代码表中token的路径分布相对稀疏。
此外,基于上述实验,我们使用三个指标对第二层的标记分布进行了统计分析:熵、基尼系数和标准差,如图所示。结果表明,第二层的标记分布表现出低熵、高基尼系数和大标准差,表明该分布具有显著的不均匀性。
总体而言,这种沙漏现象在代码表中通过路径稀疏性和token的长尾分布得到了统计数据支持。其中,
路径稀疏性:语义ID结构导致代码表利用率低。
长尾分布:在中间层,大多数路径集中到单个token上
4.2 现象分析
为了探讨“沙漏”现象的成因,将基于残差量化(RQ)的运行机制进行深入分析和讨论。为了便于理解,考虑两种原始嵌入的分布:非均匀分布和均匀分布。接下来,使用RQ为数据X生成语义ID。
可以看到,第一层,候选点被分成M个聚类桶,token的入度相等。输入分布均匀。第二层输入为第一层的残差,分布非均匀。小残差点靠近聚类中心,异常值较大。聚类更关注异常值,形成长尾现象。第三层残差值变得一致且均匀。类似第一层的均匀分布。第二层大路由节点分散成多个小节点。整体趋势随层数增加,残差减小,聚类效应减弱。形成沙漏状结构:数据压缩再扩展,最终均匀分布。语义ID构建后,RQ量化方法的影响,加上中间层头部token的主导地位,自然导致了路径的稀疏性。类似地,对于非均匀分布(如长尾分布),残差分布变得更加不均匀,导致现象更加严重。
4.3 实际影响
为了评估这种现象的影响,我们进行了多项实验。首先,在评估过程中,我们根据第二层标记的分布将测试集分为两组:头部标记测试集和尾部标记测试集。如表所示,头部标记测试集的性能显著提升,而尾部标记测试集的性能则明显较差。这种性能差异可以归因于先前分析的路径稀疏性和标记的长尾分布,导致了结果的偏差。这一现象在不同规模的模型(如LLaMA2、Baichuan2和Qwen1.5)以及不同参数的残差量化(RQ)中均有观察到,突显出长尾标记分布和路径稀疏性对模型性能的广泛影响。
此外,为了进一步探讨“沙漏”现象对模型性能的影响,我们进行了两个关键实验:1)交换第一层和第二层的标记,2)将交换序列的第一个标记作为输入。
在仅交换第一层和第二层标记的情况下,第一层出现显著的长尾分布,导致模型难以拟合,从而效果较差。由于逐标记错误的累计,交换后的效果甚至比不交换更差。然而,当交换后给定第一个标记时,输出任务变为预测第二或第三层的SID,这使得任务变得更简单,并且长尾分布不再影响结果(因为给定了真实的SID1),因此效果显著提升。此外,在不交换第一层和第二层的条件下,给定第一个标记(第二层SID依旧是长尾分布),其结果高于基线,但低于交换后给出第一个标记的情况(如表所示)。
这一发现表明,“沙漏”现象对模型性能有着实质性的负面影响。通过上述实验,不仅确认了“沙漏”效应的存在,还阐明了其对模型性能的具体影响,从而为未来的优化提供了坚实的基础。
5 解决方法
解决沙漏现象的方法有多种,在此简单的从分布角度提出两种简单易行的方法:一种启发式的方法是直接移除第二层,从而消除长尾效应的影响。然而,这可能导致空间容量不足。需要注意的是,这里首先要生成一个L层的语义ID(SID),然后再移除第二层,这与直接生成一个两层的SID不同,因为后者可能仍然存在大的路由节点。另一种简单的方法是自适应地移除第二层的顶部tokens,使语义ID成为一个可变长度的结构。这里使用了top@K策略,并设定一个阈值p。这种方法确保了分布保持不变,同时有选择地减少了“沙漏”效应的影响。
为了进一步验证该方法的有效性,在LLaMA模型上进行了实验。结果表明,通过应用自适应token移除策略,模型性能得到了提升,同时计算成本与基础模型相近,并且在一些客观优化(如Focal Loss和Mile Loss)方面也表现出色。
具体来说,实验结果显示,使用top@400 token移除策略的模型在大多数评估指标上都优于基线模型。这表明该方法有效地减少了长尾效应的影响。随着移除的tokens数量增加,模型性能的提升会遇到瓶颈。特别是当所有tokens都被移除时,这种限制尤为明显,这可能是由于缺少长尾tokens,导致召回率下降。同时,直接移除第二层会导致一个SID对应多个项目。这种细粒度的分析为所提出方法的有效性提供了有力证据。该方法在选择性移除不太重要的tokens的同时,保留了最有信息量的tokens,即使在移除大量数据的情况下,也能提升模型性能。
6 结论
本研究系统地探讨了RQ-SID在生成式搜索/推荐的局限性,特别是发现了中间层tokens过度集中导致数据稀疏和长尾分布的“沙漏”现象。通过广泛的实验和消融研究,证明了这一现象,并分析了其根本原因在于残差特性。为了解决这个问题,提出了两种方法:移除第二层的启发式方法和自适应调整token分布的可变长度token策略。实验结果显示,两种方法都有效缓解了瓶颈效应,其中自适应token分布调整策略效果最佳。这是首次系统性地探讨RQ-SID在生成式搜索/推荐中缺陷的研究,为未来的模型优化提供了坚实的基础,并显著提升了模型性能。
7 未来规划
1、 优化SID的生产与表征方式,通过引入时效、统计类特征来辅助额外表征,让其能满足对特征极为看重的排序需求;
2、 统一稀疏表征(SID)与密集表征,让LLM可以显示的建模密集特征变化趋势,而不是稀疏表征的映射
3、 保证链路无损失实现一段式搜索。
关注公众号
低调大师中文资讯倾力打造互联网数据资讯、行业资源、电子商务、移动互联网、网络营销平台。
持续更新报道IT业界、互联网、市场资讯、驱动更新,是最及时权威的产业资讯及硬件资讯报道平台。
转载内容版权归作者及来源网站所有,本站原创内容转载请注明来源。
-
上一篇
AI 生成代码时代,模型不懂开源不懂法,我们要做些什么?
在人工智能技术迅猛发展的当下,软件开发领域正经历着深刻变革。4月17日,开源中国成功举办以“降低风险,人工智能生成代码时代的许可安全与合规”为主题的网络研讨会,观看人数超过30万。 三位来自开源、人工智能与安全治理前沿领域的国际专家,深入探讨了人工智能生成代码面临的合规性与安全性挑战以及策略、全球开源合规实践的多样性,以及可信供应链平台在风险管控中的关键作用,为行业发展指明方向,也为企业应对新挑战提供了宝贵思路。 AI生成代码蕴藏巨大潜力,同时面临着重大挑战 人工智能生成代码已在软件开发工作流中广泛应用。谷歌超过25%的代码由人工智能编写;亚马逊通过人工智能辅助开发已累计节省2.6亿美元成本,并减少了4500名开发者一年的工作量;微软CTO预测,到2030年,人工智能将生成95%的代码。这些数据充分彰显了人工智能生成代码的巨大潜力。 然而,随着人工智能生成代码技术的持续发展及其在软件开发流程中的深度整合,国际知名企业技术高管、开源与人工智能生态领军者Ibrahim Haddad 博士指出,围绕许可证合规性审查、安全漏洞防范、多源许可证兼容处理、商业秘密保护以及与现有代码库集成等维度的挑...
-
下一篇
从架构原理到落地实践:Apache SeaTunnel×Cloudberry数据集成全解读
在数据驱动的数字时代,企业正面临前所未有的数据增长与系统复杂性。数据分布在不同系统、格式与平台中,导致"信息孤岛"问题日益严重。打破这些孤岛,实现数据的高效整合与共享,成为推动企业智能决策与业务创新的关键。而 Apache SeaTunnel 正是在这样的需求下崭露头角,它以简洁的使用方式、强大的插件能力以及对异构系统的良好支持,逐步成为开源数据集成领域的重要力量。 本文将从数据集成的挑战谈起,深入解析 SeaTunnel 的设计理念与架构演进,并结合其在 Cloudberry 数据库中的实际集成应用,探讨未来面向高性能场景的扩展方向。 [点击观看直播回放](【Apache SeaTunnel架构解析与Cloudberry集成实践】 https://www.bilibili.com/video/BV1EKL7zTEi7/?share_source=copy_web&vd_source=95c219dd0dce02a8912d922af4c821e9) 数据集成的核心价值 企业在发展过程中往往形成多个自成体系的 IT 子系统,每个系统使用不同的数据库、消息中间件或存储引擎,构成了...
相关文章
文章评论
共有0条评论来说两句吧...

微信收款码
支付宝收款码