首页 文章 精选 留言 我的
优秀的个人博客,低调大师

微信关注我们

原文链接:https://www.oschina.net/news/281630/the-app-store-spotify-and-europes-thriving-digital-music-market

转载内容版权归作者及来源网站所有!

低调大师中文资讯倾力打造互联网数据资讯、行业资源、电子商务、移动互联网、网络营销平台。持续更新报道IT业界、互联网、市场资讯、驱动更新,是最及时权威的产业资讯及硬件资讯报道平台。

科大讯飞董事长刘庆峰:建议制定国家《通用人工智能发展规划》

2024全国“两会”期间,全国人大代表、科大讯飞董事长刘庆峰建议,在2017年《新一代人工智能发展规划》的基础上,瞄准我国通用人工智能发展中需要重点补上的短板进行设计,围绕自主可控算力生态构建、高质量数据开放共享、科学的评测标准制定、源头技术前瞻研发、人才培养、法律制定和伦理人文等维度,系统性制定国家《通用人工智能发展规划》,由国家高位推动规划的制定和落地,不断缩小中美通用人工智能产业在通用底座平台方面的差距,并在行业应用和价值创造上打造我国的比较优势。 刘庆峰表示,国家在制定《规划》的同时,应该加快推动通用人工智能的相关工作,他提出9点建议: 第一,建议发挥举国体制优势,加大并保持对通用大模型底座“主战场”的持续投入。 建议以专项的形式从算力、数据、算法上在未来5年内持续支持我国通用大模型的研发攻关;建议支持有条件的地方政府,以专项债的形式支持通用和行业大模型研发以及应用生态发展所需的算力基础设施建设;建议制订相关政策,推动工业和民生等领域的大模型应用,从而让“底座大模型+行业应用”形成相互促进的良好局面;建议鼓励国资央企优先应用国产大模型,在关键敏感领域和核心战略领域只能用自主可控...

开源代码生成模型 StarCoder 2 全新上线!

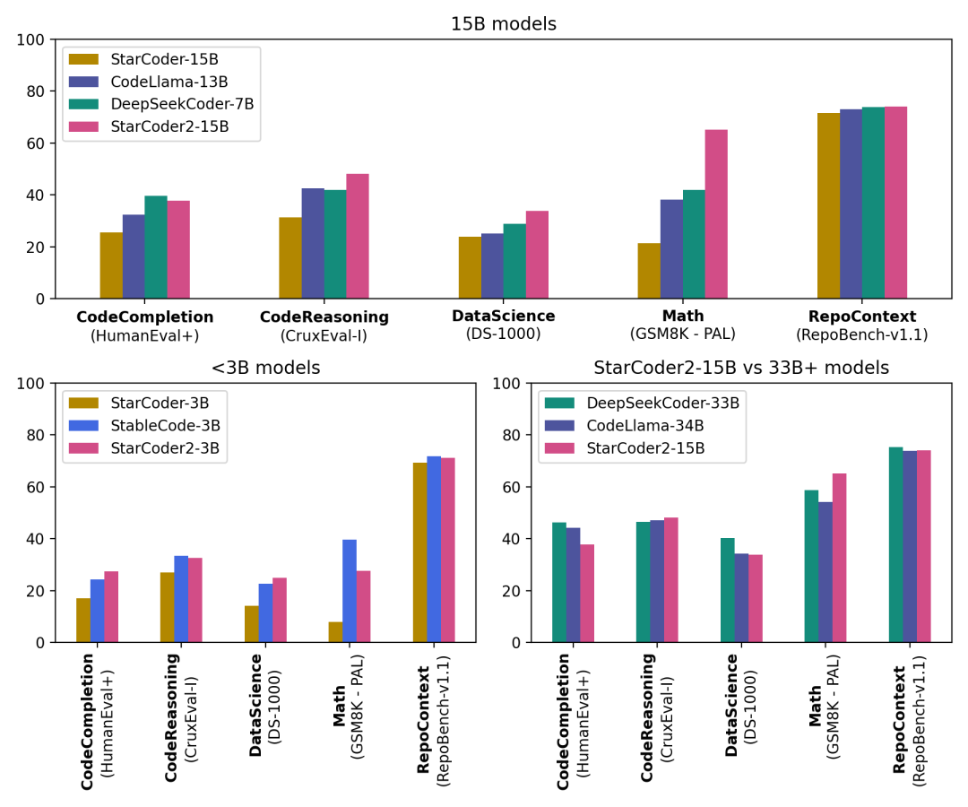
BigCode 正式推出 StarCoder2 —— 一系列新一代的开放源代码大语言模型 (LLMs)。这些模型全部基于一个全新、大规模且高品质的代码数据集 The Stack v2 进行训练。我们不仅公开了所有的模型和数据集,还包括了数据处理和训练代码的详细信息,详情请参阅 相关论文。 StarCoder2 是什么? StarCoder2 是一套面向代码的开放式大语言模型系列,提供 3 种规模的模型,分别包括 30 亿 (3B)、70 亿 (7B) 和 150 亿 (15B) 参数。特别地,StarCoder2-15B 模型经过了超过 4 万亿 token 和 600 多种编程语言的训练,基于 The Stack v2 数据集。所有模型均采用分组查询注意力机制 (Grouped Query Attention),具备 16,384 个 token 的上下文窗口和 4,096 个令牌的滑动窗口注意力,并通过“填充中间” (Fill-in-the-Middle) 技术进行训练。 StarCoder2 包含三种规模的模型:ServiceNow 训练的 30 亿参数模型、Hugging Fa...

相关文章

发表评论

资源下载

更多资源
腾讯云软件源

腾讯云软件源

为解决软件依赖安装时官方源访问速度慢的问题,腾讯云为一些软件搭建了缓存服务。您可以通过使用腾讯云软件源站来提升依赖包的安装速度。为了方便用户自由搭建服务架构,目前腾讯云软件源站支持公网访问和内网访问。

Nacos

Nacos

Nacos /nɑ:kəʊs/ 是 Dynamic Naming and Configuration Service 的首字母简称,一个易于构建 AI Agent 应用的动态服务发现、配置管理和AI智能体管理平台。Nacos 致力于帮助您发现、配置和管理微服务及AI智能体应用。Nacos 提供了一组简单易用的特性集,帮助您快速实现动态服务发现、服务配置、服务元数据、流量管理。Nacos 帮助您更敏捷和容易地构建、交付和管理微服务平台。

Spring

Spring

Spring框架(Spring Framework)是由Rod Johnson于2002年提出的开源Java企业级应用框架,旨在通过使用JavaBean替代传统EJB实现方式降低企业级编程开发的复杂性。该框架基于简单性、可测试性和松耦合性设计理念,提供核心容器、应用上下文、数据访问集成等模块,支持整合Hibernate、Struts等第三方框架,其适用范围不仅限于服务器端开发,绝大多数Java应用均可从中受益。

Rocky Linux

Rocky Linux

Rocky Linux(中文名:洛基)是由Gregory Kurtzer于2020年12月发起的企业级Linux发行版,作为CentOS稳定版停止维护后与RHEL(Red Hat Enterprise Linux)完全兼容的开源替代方案,由社区拥有并管理,支持x86_64、aarch64等架构。其通过重新编译RHEL源代码提供长期稳定性,采用模块化包装和SELinux安全架构,默认包含GNOME桌面环境及XFS文件系统,支持十年生命周期更新。

用户登录
用户注册