深拷贝一个对象会了,怎么深拷贝一个图?
原创公众号:bigsai 如有帮助欢迎一键三联
文章已收录在 全网都在关注的数据结构与算法学习仓库 欢迎star
前言
在前面,我写过一篇Java的深浅拷贝,那是基于对象的拷贝,但放眼数据结构与算法中,你有考虑过怎么拷贝一个图吗?(无向图)
在此之前,你需要对一些概念搞清楚:什么是深拷贝、浅拷贝?
浅拷贝:如果拷贝的是引用类型(非基本类型),就只会拷贝一层(嵌套的对象不会被拷贝),如果原对象发生改变,那么拷贝对象也会发生改变。
深拷贝:深拷贝的话会拷贝多层,嵌套的对象也会被拷贝出来,相当于开辟一个新的内存地址用于存放拷贝的对象。
用通俗一点(可能不完全确切)的话解释,浅拷贝就像你的双胞胎兄弟一样,你们父母亲人都是一样的;而深拷贝就像另一个平行的时空,那里有另一个你的一切。
既然搞懂了深浅拷贝以及其区别,我们再看看图,图一般用来表示节点和节点之间的关系,常分为有向图和无向图,在这里我们以无向图(一旦连接即双向)为主题。
我们对图的表示一般有邻接矩阵和邻接表,邻接矩阵的话比较直观的表示一个图的连通性,操作维护更简单,在Java中一般使用二维数组表示邻接矩阵,数组中的值可以表示两个节点的权值。
使用邻接矩阵虽然简单但是有个比较差的就是浪费较多内存空间,所以很多情况还是使用邻接表来表示一个图,邻接表一般是数组+链表的这么一个组合。但是也有一些特殊情况各个节点比较独立的不用数组联立。
问题分析
如果这个图使用邻接表表示,给你无向 连通 图中一个节点的引用,请你返回该图的 深拷贝(克隆),这个问题是力扣131克隆图原题。
图中的每个节点都包含它的值 val(int) 和其邻居的列表(list[Node])。
class Node {
public int val;
public List<Node> neighbors;
}
给一个节点的引用,怎么克隆这个图呢?
如果只有这一个节点,那么克隆这个节点就好。如果这个节点只有一层邻居,那克隆这个邻居的列表(克隆List集合)即可。
但事实是这个节点可能有多层邻居,并且邻居之间可能存在着复杂联系。
克隆整个图,所以图的每一个节点都要被克隆的,我们需要使用图论的搜索算法来枚举所有节点,并且在遍历的过程中我们需要想办法将节点之间的关系也克隆下来。遍历的方法可以使用dfs或者bfs,这里使用bfs来实现。
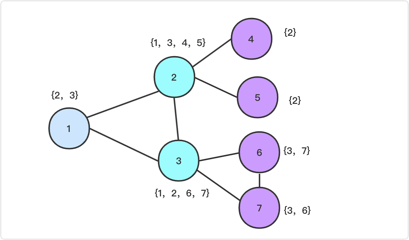
凡是遇到苦难的时候我们模拟一下这个克隆的过程即可,通过下面这张图可以大概了解克隆图的过程中,最大的问题是要避免创建重复节点。即有的节点一旦被创建它的引用可能在后面会被用到的。
那我们该如何解决这个问题呢?怎么样能够快速找到对应节点的引用?
这里最好的方法是使用HashMap<Node,Node>,其中key保存的是被克隆图中的节点,而value是在克隆图中所对应的节点,这样在克隆新图的过程中,我们遍历被克隆图中节点邻居的时候,就可以用哈希判断这个节点对应的value是否存在(即这个节点在克隆图中是否存在)。
- 如果存在那么直接使用
HashMap找到对应节点放入克隆图中新创建的List中。 - 不过不存在说明这个节点第一次遇到,克隆这个节点,先放到
hashMap中与被克隆节点对应,然后放入克隆图中新创建的List中。
这个流程其中大概是这样的:
有了上面的分析,想必你对这个问题的解决已经有了思路和想法,下面就提供一下代码实现。
/*
// Definition for a Node.
class Node {
public int val;
public List<Node> neighbors;
public Node() {
val = 0;
neighbors = new ArrayList<Node>();
}
public Node(int _val) {
val = _val;
neighbors = new ArrayList<Node>();
}
public Node(int _val, ArrayList<Node> _neighbors) {
val = _val;
neighbors = _neighbors;
}
}
*/
class Solution {
public Node cloneGraph(Node node) {
if(node==null)
return null;
Map<Node, Node>map=new HashMap<Node, Node>();//节点映射克隆的节点
Queue<Node>oldqueue=new ArrayDeque<Node>();//bfs队列
oldqueue.add(node);
Node value=new Node(node.val);//先将返回的节点 创建、映射
map.put(node, value);
while (!oldqueue.isEmpty()) {
Node oldnode=oldqueue.poll();
Node newnode=map.get(oldnode);//找到这个节点对应克隆的映射(一定存在)
List<Node>list=oldnode.neighbors;//邻居
List<Node>listnew=new ArrayList<Node>();//克隆邻居
for(Node team:list)
{
if(map.containsKey(team))
{
listnew.add(map.get(team));
//点以前已经遇到,直接添加到邻居列表
}
else {
//这个邻居第一次碰到,需要创建新节点赋予值
Node no=new Node(team.val);
map.put(team, no);//映射
listnew.add(no);
oldqueue.add(team);//这个点第一次遇到,要将它放到队列中进行bfs搜索
}
}
newnode.neighbors=listnew;//将节点的邻居指向list
}
return value;
}
}
本篇内容到这里就结束啦,还希望你能一键三联支持一下!
新人求关注!关注后欢迎加入力扣打卡群(备注力扣 csdn即可),持续产出肝货!
本文同步分享在 博客“Big sai”(CSDN)。
如有侵权,请联系 support@oschina.cn 删除。
本文参与“OSC源创计划”,欢迎正在阅读的你也加入,一起分享。






