图解 ElasticSearch 原理,写得太好了!
Java技术栈
www.javastack.cn
关注阅读更多优质文章
作者:Richaaaard
来源:https://www.cnblogs.com/richaaaard/
Elasticsearch 是一款功能强大的开源分布式搜索与数据分析引擎,目前国内诸多互联网大厂都在使用,包括携程、滴滴、今日头条、饿了么、360 安全、小米、vivo 等。
除了搜索之外,结合 Kibana、Logstash、Beats,Elastic Stack 还被广泛运用在大数据近实时分析领域,包括日志分析、指标监控、信息安全等多个领域。
它可以帮助你探索海量结构化、非结构化数据,按需创建可视化报表,对监控数据设置报警阈值,甚至通过使用机器学习技术,自动识别异常状况。
今天,我们先自上而下,后自底向上的介绍ElasticSearch的底层工作原理,并试图回答以下问题:
为什么我的搜索 *foo-bar* 无法匹配 foo-bar ?
为什么增加更多的文件会压缩索引(Index)?
为什么 ElasticSearch 占用很多内存?
图解 ElasticSearch
elasticsearch 版本: elasticsearch-2.2.0。
①云上的集群
如下图:
②集群里的盒子
云里面的每个白色正方形的盒子代表一个节点——Node。
③节点之间
在一个或者多个节点直接,多个绿色小方块组合在一起形成一个 ElasticSearch 的索引。
④索引里的小方块
在一个索引下,分布在多个节点里的绿色小方块称为分片——Shard。
⑤Shard=Lucene Index
一个 ElasticSearch 的 Shard 本质上是一个 Lucene Index。
Lucene 是一个 Full Text 搜索库(也有很多其他形式的搜索库),ElasticSearch 是建立在 Lucene 之上的。
接下来的故事要说的大部分内容实际上是 ElasticSearch 如何基于 Lucene 工作的。
图解 Lucene
Mini 索引:Segment
在 Lucene 里面有很多小的 Segment,我们可以把它们看成 Lucene 内部的 mini-index。
Segment 内部
Inverted Index
Stored Fields
Document Values
Cache
一个有序的数据字典 Dictionary(包括单词 Term 和它出现的频率)。
与单词 Term 对应的 Postings(即存在这个单词的文件)。
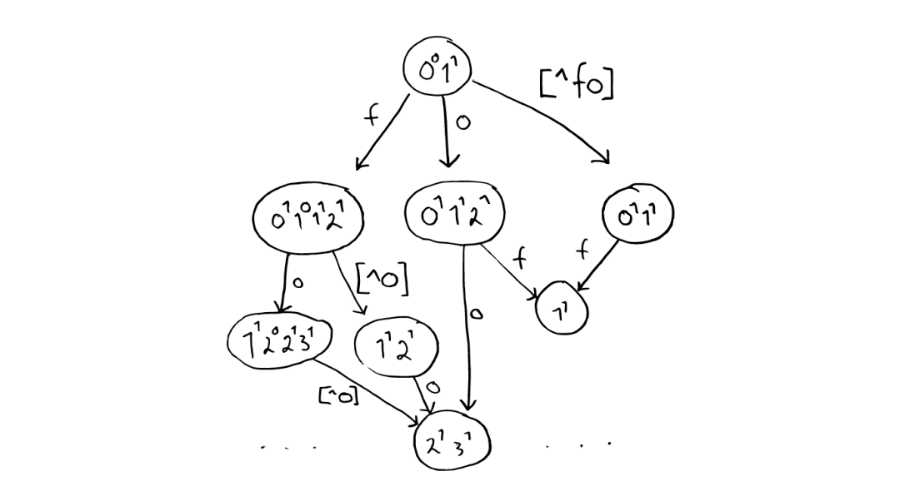
①查询“the fury”
②自动补全(AutoCompletion-Prefix)
③昂贵的查找
④问题的转化
* suffix→xiffus *,如果我们想以后缀作为搜索条件,可以为 Term 做反向处理。
(60.6384, 6.5017)→ u4u8gyykk,对于 GEO 位置信息,可以将它转换为 GEO Hash。
123→{1-hundreds, 12-tens, 123},对于简单的数字,可以为它生成多重形式的 Term。
⑤解决拼写错误
⑥Stored Field 字段查找
当我们想要查找包含某个特定标题内容的文件时,Inverted Index 就不能很好的解决这个问题,所以 Lucene 提供了另外一种数据结构 Stored Fields 来解决这个问题。
本质上,Stored Fields 是一个简单的键值对 key-value。默认情况下,ElasticSearch 会存储整个文件的 JSON source。
⑦Document Values 为了排序,聚合
即使这样,我们发现以上结构仍然无法解决诸如:排序、聚合、facet,因为我们可能会要读取大量不需要的信息。
所以,另一种数据结构解决了此种问题:Document Values。这种结构本质上就是一个列式的存储,它高度优化了具有相同类型的数据的存储结构。
Segments 是不可变的(immutable):Delete?当删除发生时,Lucene 做的只是将其标志位置为删除,但是文件还是会在它原来的地方,不会发生改变。
Update?所以对于更新来说,本质上它做的工作是:先删除,然后重新索引(Re-index)。
随处可见的压缩:Lucene 非常擅长压缩数据,基本上所有教科书上的压缩方式,都能在 Lucene 中找到。
缓存所有的所有:Lucene 也会将所有的信息做缓存,这大大提高了它的查询效率。
当 ElasticSearch 索引一个文件的时候,会为文件建立相应的缓存,并且会定期(每秒)刷新这些数据,然后这些文件就可以被搜索到。
举个栗子
有两个 Segment 将会 Merge:
ElasticSearch 从 Shard 中搜索的过程与 Lucene Segment 中搜索的过程类似。
对于日志文件的处理:当我们想搜索特定日期产生的日志时,通过根据时间戳对日志文件进行分块与索引,会极大提高搜索效率。
当我们想要删除旧的数据时也非常方便,只需删除老的索引即可。
节点分配与 Shard 优化:
为更重要的数据索引节点,分配性能更好的机器。
-
确保每个 Shard 都有副本信息 Replica。
路由 Routing:每个节点,每个都存留一份路由表,所以当请求到任何一个节点时,ElasticSearch 都有能力将请求转发到期望节点的 Shard 进一步处理。
①Query
如下图:
②Aggregation
如下图:
③请求分发
这个请求可能被分发到集群里的任意一个节点,如下图:
④上帝节点
根据索引信息,判断请求会被路由到哪个核心节点。
以及哪个副本是可用的。
等等。
⑤路由
⑥在真实搜索之前
ElasticSearch 会将 Query 转换成 Lucene Query,如下图:
Filters 可以在任何时候使用。
Query 只有在需要 Score 的时候才使用。
⑦返回
搜索结束之后,结果会沿着下行的路径向上逐层返回,如下图:
关注Java技术栈看更多干货
本文分享自微信公众号 - Java技术栈(javastack)。
如有侵权,请联系 support@oschina.cn 删除。
本文参与“OSC源创计划”,欢迎正在阅读的你也加入,一起分享。





