ROMA-iOS 适配深色模式总结
一、背景
深色模式在低光环境下(如夜间使用)可以显著减少屏幕发出的蓝光,降低眼睛疲劳,减轻视觉压力。深色背景配合浅色文字能提供更好的对比度和可读性,减少眩光,让内容更易于阅读。深色模式还可以显著节省电量,延长设备的电池续航时间。随着深色模式的普及,越来越多的用户习惯并偏好深色界面。
京东金融App自8.0.20版本支持深色模式,可在设置->通用->深色模式中打开深色模式的设置页面,选择是否启用深色模式。ROMA框架也在此版本全面支持深色模式的设置,本文详细介绍跨端框架ROMA适配深色模式的过程。
二、ROMA配置和使用
APP深色模式的设置,提供如下选择,可以强制设置普通模式(浅色模式)、深色模式和跟随系统。可以看到在将App切换为深色模式时,页面视图由普通模式切换深色模式时原有视图并未重建,视图模式的转换也非常顺畅,体验很好。
1.视图的显示模式设置
ROMA针对所有标签(包括页面)提供 theme-mode 属性,表示当前视图在什么模式下显示。提供以下三种模式可选:
1:表示强制浅色模式 2:表示强制深色模式 3:表示跟随模式(节点设置跟随,表示跟随父节点。页面设置跟随,表示跟随系统。若未设置:页面为1,标签3)
如下示例代码,设置当前页面 theme-mode=3 表示跟随window(window设置跟随系统),div标签设置 theme-mode="1" 表示强制浅色,text标签未设置,则默认为 theme-mode="3",跟随父节点div,因次text标签也是浅色。
<template theme-mode=3>
<div style="align-self: stretch; height: 100px; margin: 10px;" theme-mode="1">
<text style="color:#000000; font-size: 12px;"> 文本测试 </text>
</div>
</template>
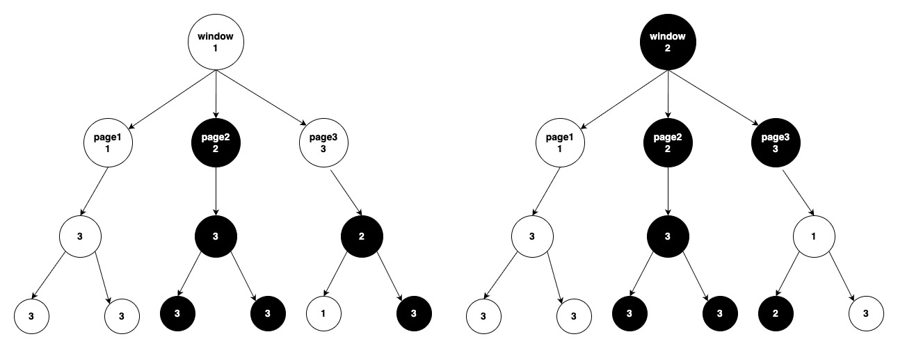
通过设置 theme-mode 属性,业务可以灵活的定制页面和视图的显示模式。既可实现整体视图跟随父节点的模式,也可针对特殊节点强制深色或者浅色显示,更大程度的满足业务在不同场景下的需求,具体效果可参考下图,其中数字表示当前节点对应的 theme-mode 的值。
2.视图的颜色设置
理想情况下业务可以做到零修改就能完成深色模式的适配,前提是App需要高度依赖一套完整的、规范的颜色映射表(普通模式下的颜色color要有对应的深色模式下的颜色值color-dark,没有则不映射),且设计师要按照映射表上的颜色来设计UI设计稿。这样在模式切换时就可以自动调整视图的颜色。
配置表的颜色映射流程可参考下图:
但业务场景复杂多样,为了兼容更多的业务场景,ROMA也向所有视图提供了针对深色模式的特定样式配置 xxx-dark ,来定制深色模式下的UI样式。如下示例代码,提供了 background-color-dark 字段可以配置深色模式下视图的背景色,color-dark 字段设置深色模式下文本的颜色, src-dark 字段设置深色模式下图片的资源。
<div style="background-color: white; background-color-dark: '#EF4034';">
<text style="color: '#666666'; color-dark:'#F9F9F9';"> 文本测试 </text>
<img src="https://img0.baidu.com/it/u=3838093562,4126749835&fm=253&fmt=auto&app=138&f=JPEG?w=1144&h=500"
src-dark="https://imgs.699pic.com/images/500/465/562.jpg!list1x.v2">
</div>
三、视图模式切换原理分析
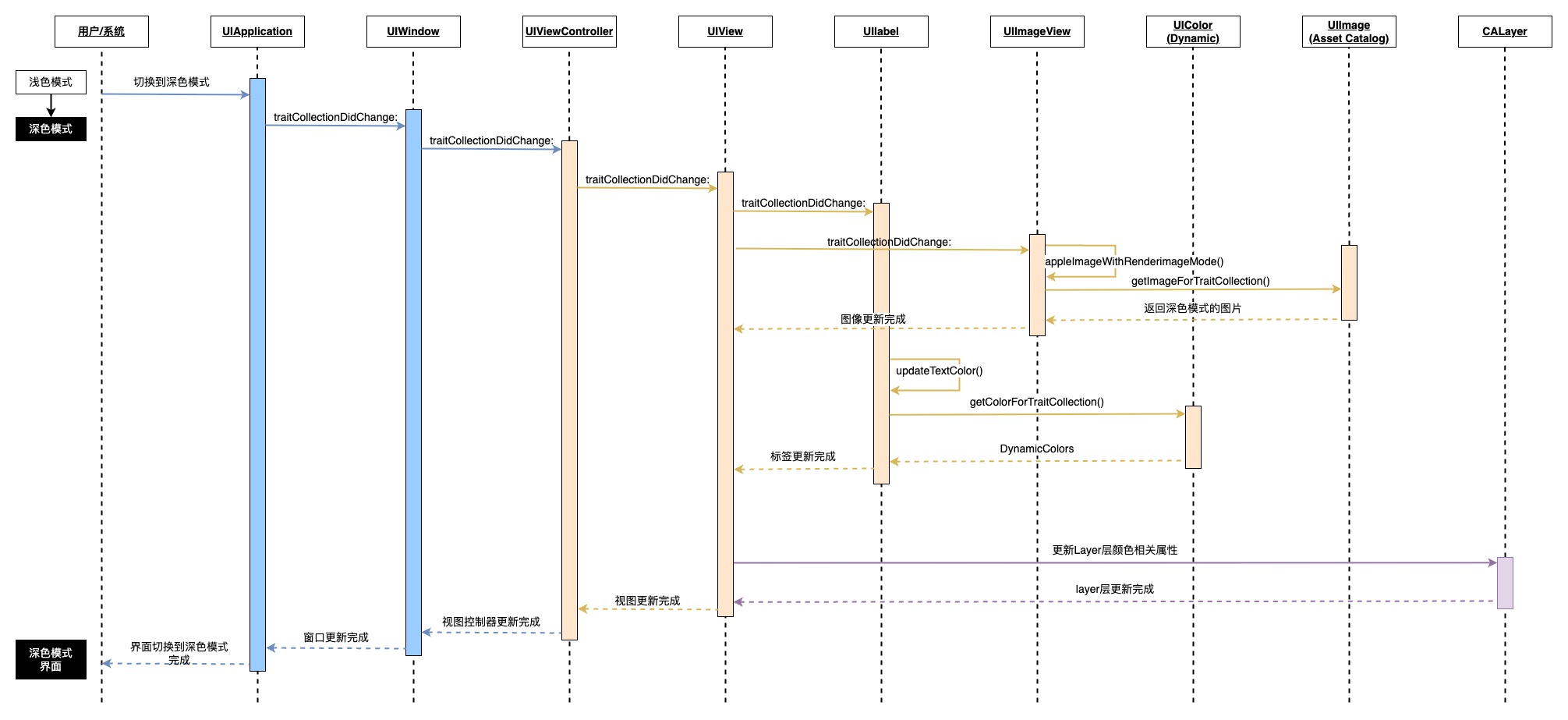
ROMA 只提供了简单配置就可以让业务适配视图在深色模式的显示,极大简化了业务的适配工作,其实App切换深色模式的处理流程涉及视图层级的方方面面,下面以iOS端为例,着重从视图层级的变化上介绍模式切换所触发的整个流程。
1.UITraitEnvironment 协议详解
UITraitEnvironment 是 iOS 中一个基础协议,各类视图和控制器都已实现了这个协议,用于监听和处理界面环境特征的变化。它是 iOS 自适应布局和外观系统的核心组成部分,使应用能够响应各种环境变化,如深浅模式切换、设备旋转或者尺寸类别变化。
@protocol UITraitEnvironment <NSObject>
@property (nonatomic, readonly) UITraitCollection *traitCollection API_AVAILABLE(ios(8.0));
/*! To be overridden as needed to provide custom behavior when the environment's traits change. */
- (void)traitCollectionDidChange:(nullable UITraitCollection *)previousTraitCollection API_DEPRECATED("Use the trait change registration APIs declared in the UITraitChangeObservable protocol", ios(8.0, 17.0), visionos(1.0, 1.0)) API_UNAVAILABLE(watchos);
@end
在iOS17之后推荐使用 UITraitChangeObservable 协议,可更精细定制要监控的特征值,并将新旧特征值都封装到hander中处理,使用起来更方便。
API_AVAILABLE(ios(17.0), tvos(17.0)) API_UNAVAILABLE(watchos) NS_SWIFT_UI_ACTOR
@protocol UITraitChangeObservable
- (id<UITraitChangeRegistration>)registerForTraitChanges:(NSArray<UITrait> *)traits withHandler:(UITraitChangeHandler)handler;
- (id<UITraitChangeRegistration>)registerForTraitChanges:(NSArray<UITrait> *)traits withTarget:(id)target action:(SEL)action;
- (id<UITraitChangeRegistration>)registerForTraitChanges:(NSArray<UITrait> *)traits withAction:(SEL)action;
- (void)unregisterForTraitChanges:(id<UITraitChangeRegistration>)registration;
@end
2.系统特征值改变对各层级视图的影响
iOS的核心类 UIScreen、UIWindow、UIViewController、UIView 等都实现了 UITraitEnvironment 协议,特征集合通过视图层次结构自上而下传递:
以下展示系统显示模式由浅色切换为深色时各层级视图特征值的变化过程。
3.视图的颜色设置
如果是视图的直接颜色属性,比如文本颜色textColor,视图的背景色backgroundColor等,可以通过DynamicColors 直接设置,这样在视图模式发生变化的时候,会自动获取对应模式的颜色值。
UIColor* dycolor = [UIColor colorWithDynamicProvider:^UIColor * _Nonnull(UITraitCollection * _Nonnull traitCollection) {
if ([traitCollection userInterfaceStyle] == UIUserInterfaceStyleLight) {
return lightResoledColor;
} else {
return darkResoledColor ? darkResoledColor : (lightResoledColor ? lightResoledColor : [UIColor clearColor]);
}
}];
view.backgroundColor = dycolor;
4.视图的其他设置
对于layer层颜色、图片资源变化、lottie的资源切换等,可以向view层注册状态变更的事件回调,在视图的显示特征的发生变化时,调整视图的显示。如下示例在监测到view的模式发生变化时,调整图层的边框颜色。
UIColor* borderColor = jr_themeColorForTrans(_bordercolor_light, _bordercolor_dark);
CAShapeLayer* borderLayer = [[CAShapeLayer alloc]init];
__weak CAShapeLayer* __weakBorderLayer = borderLayer;
[self.view jr_registerForJRThemeChangesWithHandler:^(JRThemeModeStyle style) {
[CATransaction begin];
[CATransaction setDisableActions:YES];
__weakBorderLayer.strokeColor = borderColor.CGColor;
[CATransaction commit];
} key:@"jr_trans_layer_border_color_key"];
四、总结
ROMA作为一个现代化的跨端框架,深色模式的适配不仅是一项功能,更是我们对用户体验、设备兼容性和技术趋势的全面考量。我们相信,这一更新将为开发者提供更大的灵活性,并最终为用户带来更加优质的产品体验。同时,在深色模式开发的过程中,我们也梳理出多主题切换的实现方案,如有需要,可快速完成多主题的适配。如果你也对ROMA感兴趣,可在评论区留言交流~!

低调大师中文资讯倾力打造互联网数据资讯、行业资源、电子商务、移动互联网、网络营销平台。
持续更新报道IT业界、互联网、市场资讯、驱动更新,是最及时权威的产业资讯及硬件资讯报道平台。
转载内容版权归作者及来源网站所有,本站原创内容转载请注明来源。
-
上一篇
蚂蚁集团开源移动端流式 Markdown 渲染引擎 FluidMarkdown
蚂蚁集团支付宝终端技术团队推出并开源了 FluidMarkdown —— 一款专为智能化业务场景打造的移动端原生 Markdown 渲染引擎,它能够轻松应对大模型的逐字输出,并为开发者提供高度可定制的交互与视觉表现,支持iOS / Android(HarmonyOS 平台开发中)。 FluidMarkdown 能够将大模型实时返回的 Markdown 文本,以低延迟、高保真、可交互的方式渲染到原生组件,并支持动态内容追加与高度灵活的视觉定制。 ✨ 核心特性一览 完整 Markdown 语法支持 基于 CommonMark 规范实现,覆盖绝大多数常用语法: 标题、段落、引用、分隔线 有序/无序列表 表格、代码块(支持语言标识) 数学公式(LaTeX)、行内代码 超链接、图片、脚注等 混合 HTML 标签支持 除标准 Markdown 外,还支持部分 HTML 标签渲染,满足富文本扩展需求: <s>, <sup>, <sub>, <mark>, <a>, <span>, <cite>, <del&...
-
下一篇
生数科技图生视频大模型 Vidu Q2 正式全球上线
9月25日,生数科技新一代图生视频大模型Vidu Q2正式全球上线。 据了解,相比于今年上半年发布的Vidu Q1模型,此次发布的Vidu Q2图生视频功能在极致细微表情生成、推拉运镜、语义理解、生成速度与时长选择方面都有了大幅提升,主要有4大亮点: 1、AI演技更生动——不仅能生成视频,更有生动演技 2、镜头语言更丰富——运镜自然流畅,创作更显张力 3、语义理解更准确——创意直达画面,想象即刻成真 4、时长选择更自由——时长选择灵活,满足更多场景 此外,为了满足用户对于生成速度和生成质量的不同需求,Vidu Q2图生视频分为闪电模式和电影大片模式。闪电模型下20秒就能生成 5秒 1080P视频片段,满足极速出片的需求;电影大片模式则主要满足对于复杂表演、运镜等有更高要求的用户。 目前,Vidu Q2图生视频功能已同步在其Web 端、APP端以及API上线。https://www.vidu.cn/
相关文章
文章评论
共有0条评论来说两句吧...
文章二维码
点击排行
推荐阅读
最新文章
- CentOS7编译安装Gcc9.2.0,解决mysql等软件编译问题
- CentOS8编译安装MySQL8.0.19
- Linux系统CentOS6、CentOS7手动修改IP地址
- SpringBoot2初体验,简单认识spring boot2并且搭建基础工程
- Docker快速安装Oracle11G,搭建oracle11g学习环境
- Docker使用Oracle官方镜像安装(12C,18C,19C)
- Eclipse初始化配置,告别卡顿、闪退、编译时间过长
- SpringBoot2全家桶,快速入门学习开发网站教程
- Windows10,CentOS7,CentOS8安装MongoDB4.0.16
- CentOS6,CentOS7官方镜像安装Oracle11G