腾讯开源混元翻译模型 Hunyuan-MT
腾讯混元团队正式开源了面向翻译场景的 Hunyuan-MT 系列模型。该系列目前包含两个版本:
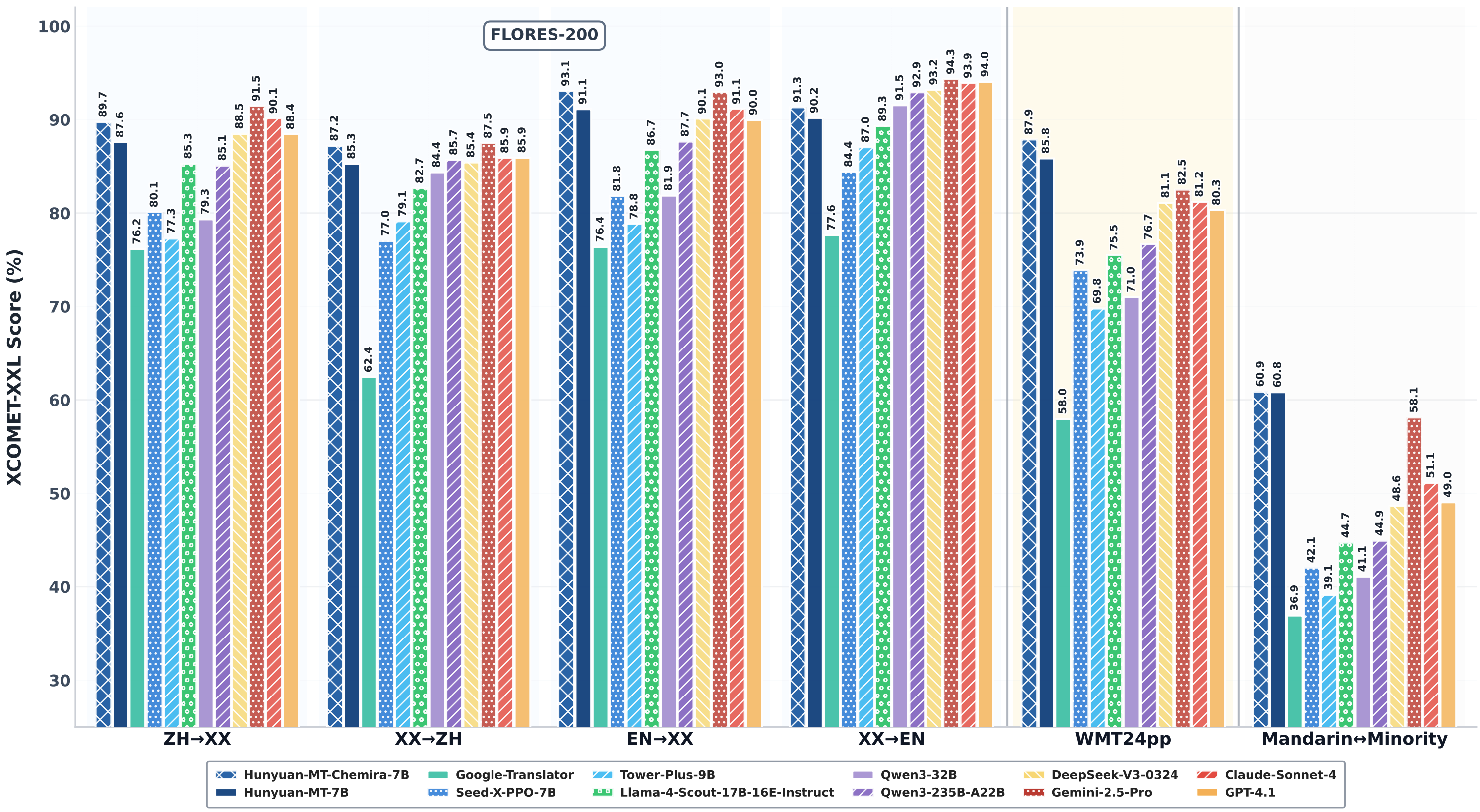
- Hunyuan-MT-7B:单模型版本,支持 33 种语言之间的双向翻译,覆盖中、英、日、法等主流语种以及藏、维、蒙、哈、朝 5 种中国少数民族语言;在 WMT25 竞赛的 31 个语言方向上取得领先成绩 。
- Hunyuan-MT-Chimera-7B:集成模型,通过融合多路翻译结果进一步提升译文质量 。
Hunyuan-MT-7B 在同等规模下达到了业界领先的翻译性能,而 Hunyuan-MT-Chimera-7B 通过集成多路翻译输出进一步提升了质量。
核心特性与优势
- WMT25 参赛 31 语种之中 30 语种获得第一名的成绩。
- Hunyuan-MT-7B 同尺寸业界效果最优
- Hunyuan-MT-Chimera-7B 是业界首个开源翻译集成模型,可以将翻译效果再拉高一个档次
- 提出了一个完整的翻译模型训练范式,从 Pretrain->CPT->SFT-> 翻译强化 -> 集成强化,翻译效果达到同尺寸 SOTA。
效果
开源地址:https://github.com/Tencent-Hunyuan/Hunyuan-MT
关注公众号
低调大师中文资讯倾力打造互联网数据资讯、行业资源、电子商务、移动互联网、网络营销平台。
持续更新报道IT业界、互联网、市场资讯、驱动更新,是最及时权威的产业资讯及硬件资讯报道平台。
转载内容版权归作者及来源网站所有,本站原创内容转载请注明来源。
-
上一篇
Chrome 市占率突破 70%
根据 Statcounter 最新数据,截至 2025 年 8 月,Google Chrome 在桌面浏览器市场的份额达到了 70.25%。 下面是各主要浏览器市场占比变化 Microsoft Edge:稳居第二,但市场份额仅为 11.8%,比上月略增 0.01 个百分点 Safari:虽为第三,但仅占 6.34%,月增幅高达 1.04 个百分点 Firefox:市场占比为 4.94%,环比下降 0.36 个百分点 Opera:排名第五,仅占 2.06%,环比减少 0.13 个百分点 整体来看,Chrome 的市场份额持续上升,而其他竞争浏览器则表现相对疲软,其市场份额普遍有所下滑,尤其是 Firefox 和 Opera。Safari 略有回升,但仍远远落后于 Chrome 和 Edge。
-
下一篇
微软发布开源数学推理模型 rStar2-Agent
微软近日发布了名为“rStar2-Agent”的开源模型,这是一个14B参数的数学推理模型,通过智能而非冗长的思考,实现了与671B DeepSeek-R1相当的性能。 该模型通过自主规划、推理和使用代码工具来高效地探索、验证和反思复杂问题的解决方案。其能力依赖于三大创新:GRPO-RoC算法、可扩展的高效RL基础设施,以及从非推理SFT开始的Agent训练方案。 rStar2-Agent的核心在于实现更智能的思考而非单纯延长推理时间,通过纯粹的智能体强化学习,其性能可媲美6710亿参数的DeepSeek-R1模型。 该模型能自主规划、推理并运用编码工具,高效完成探索、验证与反思以解决更复杂问题。 GRPO-RoC算法——采用创新的“正确时重采样”推演策略,优化编码工具使用,通过选择性保留高质量成功轨迹(同时完整保存失败案例)实现更短更智能的推理; 可扩展高效的RL基础设施,支持高吞吐量工具调用执行,同时降低智能体RL推演的高成本,使有限GPU资源(64块MI300X GPU)也能实现高效训练; Agent训练方案:从非推理式SFT起步,通过多阶段RL逐步推进,各阶段采用精简的最大响应...
相关文章
文章评论
共有0条评论来说两句吧...
文章二维码
点击排行
推荐阅读
最新文章
- Crontab安装和使用
- CentOS8,CentOS7,CentOS6编译安装Redis5.0.7
- CentOS7编译安装Gcc9.2.0,解决mysql等软件编译问题
- Red5直播服务器,属于Java语言的直播服务器
- SpringBoot2整合MyBatis,连接MySql数据库做增删改查操作
- Eclipse初始化配置,告别卡顿、闪退、编译时间过长
- Windows10,CentOS7,CentOS8安装MongoDB4.0.16
- CentOS8安装MyCat,轻松搞定数据库的读写分离、垂直分库、水平分库
- MySQL数据库中FOR UPDATE的使用
- CentOS6,CentOS7官方镜像安装Oracle11G


微信收款码
支付宝收款码