Mogan 更名为「Mogan STEM」,v2025.1.1 正式发布
-
发布页与下载:<https://github.com/XmacsLabs/mogan/releases/tag/v2025.1.1>
什么是 Mogan STEM
-
一键排版,规范美观:只需输入内容,Mogan STEM自动生成结构化、符合学术规范的讲义和笔记,无需再为排版头疼。
-
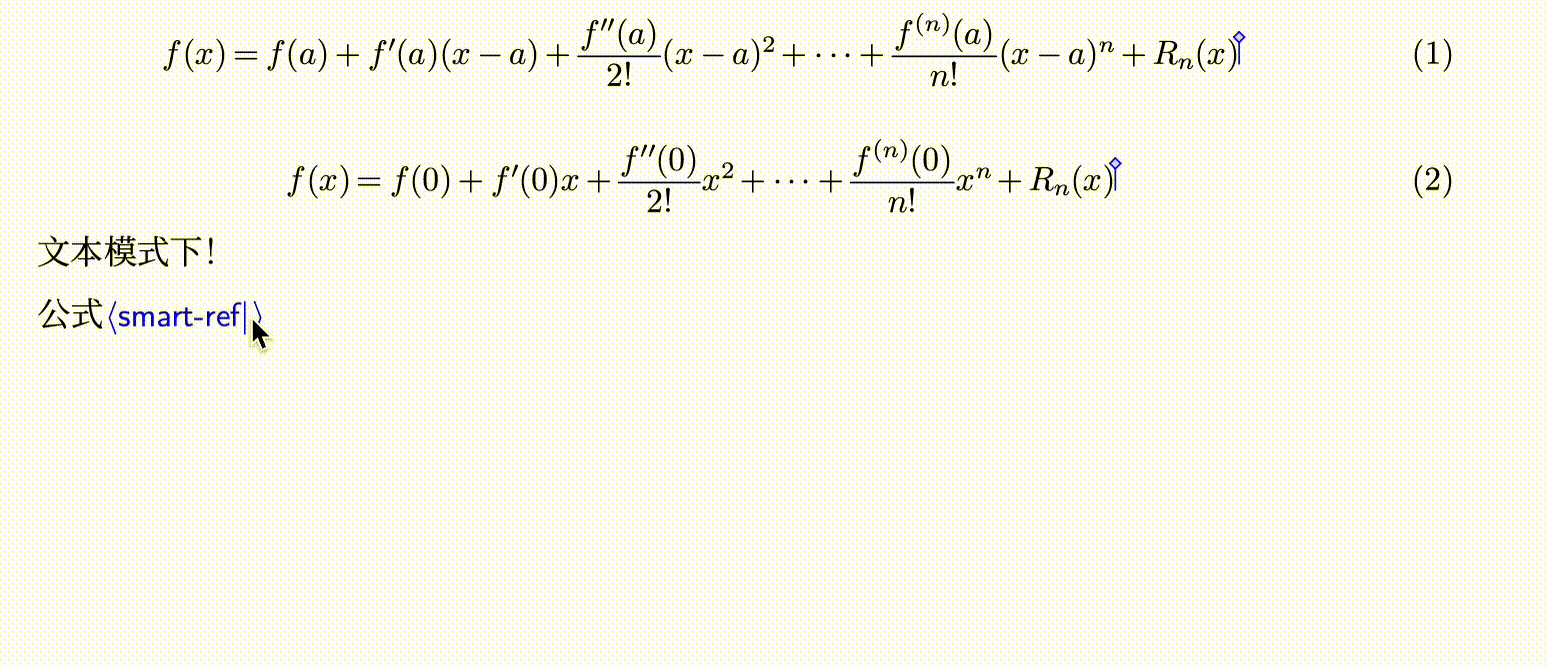
数学公式输入超快:提供大量易于记忆的公式输入方法,所见即所得,无需敲代码,效率百倍于 \(\LaTeX\)
-
魔法粘贴:从ChatGPT、DeepSeek、知乎等处复制内容,自动格式化,省去排版烦恼。
-
规范与创新兼顾:Mogan STEM实现了从课堂笔记、课后整理到论文写作的完整闭环,帮助学生养成学术规范,激发创新能力。
全新现代化图标和主题!By Yifan Lu and Shiqi Yu
用户可在编辑
->首选项
->用户界面主题
中恢复旧主题。
全新主题一览
全新暗夜主题一览
界面更新总结
-
删除了两种打印机字体的图标,用户现在可以用快捷键F6,F7 或者 使用 \(\LaTeX\) 命令
\texttt
以及\textsc
调用 打印机字体的环境。 -
文本模式下增加了 高亮环境的图标
-
增加了 插入内置AI块的图标(Liii STEM独有功能,Mogan点击该图标会跳转Liii STEM官网)
-
将大量非矢量图图标修正为 矢量图。
-
改变背景配色使风格更加统一。
-
修改了几乎全部图标,增加了图标的辨识度。
支持Tab窗口补全!文本,数学,甚至宏!By Zhiyu Zhou
数学补全
双向引用补全
文字补全
命令宏补全
其余更新
-
更名与版本发布:项目正式更名为「Mogan STEM」,发布 2025.1.1 正式版
-
macOS上用
cmd
+T
快捷键可以添加新标签页 @Zhiyu Zhou -
macOS上用
cmd
+ 1-6 快捷键可以切换标签页 @Zhiyu Zhou -
多标签页可用性提升:新增了管理附着与脱离的功能,并修复大量多标签页相关问题。复杂场景更可靠。 @Zhiyu Zhou
-
保存/另存为/打开中的可选文件格式的罗列 @Zewen Fu
-
性能大幅优化:启动、编辑与渲染更流畅 @唐一帆
-
支持Emoji(内测中)!更强「魔法粘贴」:支持 emoji 与更多内容类型的智能粘贴 @宋明润
-
语义块:定义、定理等环境的编号,默认采用 European Numbering Style (不同语义块独立编号) @Yansong Li
-
语义块:新增 Assumption 语义块环境,感谢用户 Weixiao Sun @Yansong Li
-
数学:数学模式输入乘法,默认显示 \(\times\),另外的乘法可以使用 Tab 调整 @Yansong Li
-
数学:支持
\iint
,\oiint,
\iiint
,\oint
,\idotsint
积分符号的 \(\LaTeX\) 宏命令 @Zihao Chen -
搜索替换:结构化搜索替换窗口嵌入并成为辅助窗口,用户搜索或替换数学公式等复杂结构时,可以直接使用模式工具栏快速输入 @Zhiyu Zhou
致谢
加入社区
-
Discord 频道:<https://discord.com/invite/M5Gg8yAsTx>
-
墨干社区QQ群:934456971
-
社区负责人微信号:HaggittLi

低调大师中文资讯倾力打造互联网数据资讯、行业资源、电子商务、移动互联网、网络营销平台。
持续更新报道IT业界、互联网、市场资讯、驱动更新,是最及时权威的产业资讯及硬件资讯报道平台。
转载内容版权归作者及来源网站所有,本站原创内容转载请注明来源。
-
上一篇
Linux 基金会成立“开发者关系基金会”
在2025年8月25日于阿姆斯特丹举行的欧洲开源峰会(Open-Source Summit Europe 2025)上,Linux基金会宣布成立“开发者关系基金会”(Developer Relations Foundation,简称DRF)。 开发者关系基金会是一个社区驱动的项目,旨在提升开发者关系(DevRel)专业实践的水平,并提高其作为推动业务价值的关键角色的认知度。 自2024年9月宣布成立意向以来,DRF专注于建立治理流程和工作组,以解决DevRel领域长期存在的挑战。根据2024年《第11届DevRel年度报告》中的数据,以及来自全球开发者关系社区的反馈,过去12个月的工作重点包括: 连接性:DevRel连接产品、营销、支持、工程和销售,以实现业务目标。然而,50%的调查受访者表示,DevRel的影响力缺乏认知。 误解:该职业面临着目的和角色认知的挑战。 对齐性:61%的DevRel专业人士认为,他们在证明影响力方面面临困难。 在过去12个月中,DRF通过资源整合和社区建设的工作组,开发了四个开源项目,以支持DevRel专业社区,包括: 一个包含24个定义的人物角色库(Pe...
-
下一篇
开源编辑器 Kilo Code 已内置支持 AGENTS.md
开源编辑器 Kilo Code 宣布现已内置支持 AGENTS.md。Kilo 团队强调其开源与透明理念,并对该标准被跨平台采纳表示欢迎。 从展示的图片来看,Gemini CLI 、Zed 和 OpenCode 等工具也支持了该项目。 AGENTS.md 被定位为 “为 Agent 设计的 README”,是一个简单、开放的格式,用于向编码 Agent 提供指导。其设计初衷是为了补充专为人类开发者设计的 README.md 文件。 README.md 通常包含快速入门、项目描述和贡献指南,而 AGENTS.md 则专注于提供编码 Agent 所需的额外、详细的上下文信息,例如构建步骤、测试指令、项目结构、代码约定和安全注意事项等。
相关文章
文章评论
共有0条评论来说两句吧...