人工智能(AI) 、机器学习(ML)、深度学习(DL)、神经网络(CNN)这些术语通常可以互换使用,但有它们之间都有什么区别?如何区分它们?
AI技术正越来越深入我们的日常生活,为了跟上消费者期望的步伐,企业也越来越依赖AI算法来让事情变得更容易。
这些技术通常与人工智能、机器学习、深度学习和神经网络相关联,虽然它们都发挥着作用,但这些术语往往互换使用,导致大众对它们之间的细微差别产生一些混淆。 今天我们会在本文章中详细介绍这几者之间的差别。
人工智能、机器学习、神经网络和深度学习有何关联?
或许思考人工智能、机器学习、神经网络和深度学习的最简单方法就是将它们想象成俄罗斯套娃。 每个本质上都是前项的组成部分。
也就是说,机器学习是人工智能的一个子领域。 深度学习是机器学习的一个子领域,神经网络构成了深度学习算法的支柱。 事实上,区分单个神经网络与深度学习算法的,是神经网络的节点层数或深度,深度学习算法必须超过三层。
什么是神经网络?
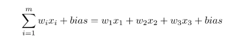
神经网络——更具体地说,人工神经网络 (ANN)——通过一组算法模拟人脑。 在基本层面上,神经网络由四个主要部分组成:输入、权重、偏差或阈值以及输出。 与线性回归类似,代数公式如下所示:
如果任何单个节点的输出高于指定的阈值,则激活该节点,将数据发送到网络的下一层。否则,不会将任何数据传递到网络的下一层。现在想象一下上述过程对单个决策重复多次,因为神经网络往往具有多个“隐藏”层作为深度学习算法的一部分。每个隐藏层都有自己的激活函数,可能会将信息从前一层传递到下一层。一旦生成了隐藏层的所有输出,它们就会被用作输入来计算神经网络的最终输出。大多数现实世界的应用示例都是非线性的,而且要复杂得多。
回归和神经网络之间的主要区别在于变化对单个权重的影响。在回归中,开发者可以更改权重而不影响函数中的其他输入。然而,神经网络并非如此。由于一层的输出传递到网络的下一层,因此单个更改可能会对网络中的其他神经元产生级联效应。
深度学习与神经网络有何不同?
虽然在神经网络的解释中暗示了这一点,但更明确地值得注意。深度学习中的“深度”是指神经网络中层的深度。由三层以上(包括输入和输出)组成的神经网络可以被视为深度学习算法。 这通常使用下图表示:
大多数深度神经网络都是前馈的,这意味着它们仅从输入到输出在一个方向上流动。但是,开发者们也可以通过反向传播来训练模型;也就是说,从输出到输入以相反的方向移动。 反向传播允许我们计算和归因与每个神经元相关的误差,允许我们适当地调整和拟合算法。
深度学习与机器学习有何不同?
深度学习只是机器学习的一个子集。它们的主要区别在于每种算法的学习方式以及每种算法使用的数据量。深度学习使过程中的大部分特征提取是自动化的,消除了一些所需的人工干预。它还支持使用大型数据集,当我们开始更多地探索非结构化数据的使用时,这种功能将特别有趣,特别是因为估计一个组织 80-90% 的数据是非结构化的。
经典的或“非深度”的机器学习更依赖于人工干预来学习。专家确定特征层次以了解数据输入之间的差异,通常需要更多结构化数据来学习。例如,假设我要向你展示一系列不同类型快餐的图片,“手抓饼”、“汉堡”或“烧烤”。这些图像的人类专家将确定将每张图片区分为特定快餐类型的特征。例如,每种食物类型的面包可能是每张图片中的一个显着特征。或者,你可以只使用标签,例如“抓饼”、“汉堡”或“烧烤”,通过监督学习来简化学习过程。
“深度”机器学习可以利用标记数据集(也称为监督学习)来通知其算法,但它不一定需要标记数据集。它可以以原始形式(例如文本、图像)摄取非结构化数据,并且可以自动确定将“手抓饼”、“汉堡”和“烧烤”彼此区分开来的一组特征。
通过观察数据中的模式,深度学习模型可以适当地对输入进行聚类。以之前的相同示例为例,我们可以根据图像中识别出的相似性或差异将手抓饼、汉堡和烧烤的图片分组到各自的类别中。话虽如此,深度学习模型需要更多的数据点来提高其准确性,而机器学习模型在给定基础数据结构的情况下依赖较少的数据。 深度学习主要用于更复杂的用例,例如虚拟助手或诈骗检测。
![干货丨人工智能 、机器学习、深度学习、神经网络,都有什么区别?]()
什么是人工智能(AI)?
最后,人工智能 (AI) 是用于对模仿人类智能的机器进行分类的最广泛术语。它用于预测、自动化和优化人类历史上完成的任务,例如语音和面部识别、决策制定等等。
AI主要分为三类:
- 狭义人工智能 (ANI)
- 通用人工智能 (AGI)
- 超级人工智能(ASI)
ANI 被认为是“弱”人工智能,而其他两种类型被归类为“强”人工智能。弱人工智能的定义是其完成非常具体的任务的能力,例如赢得国际象棋比赛或在一系列照片中识别特定个人。随着我们进入更强大的人工智能形式,如 AGI 和 ASI,更多人类行为的结合变得更加突出,例如解释语气和情感的能力。聊天机器人和虚拟助手,比如 Siri,只是触及了这个问题的表面,但它们仍然是 ANI 的例子。
![干货丨人工智能 、机器学习、深度学习、神经网络,都有什么区别?]()
强人工智能的定义是它与人类相比的能力。 通用人工智能 (AGI) 的表现将与另一个人相提并论,而超级人工智能 (ASI)——也称为超级智能——将超越人类的智力和能力。 目前还没有这两种形式的强人工智能,但该领域的研究仍在继续。 由于人工智能的这一领域仍在迅速发展,我能提供的最好的例子是 HBO 《西部世界》中的角色多洛蕾斯。
![干货丨人工智能 、机器学习、深度学习、神经网络,都有什么区别?]()
当前的AI技术依然属于狭义的人工智能,比如人脸识别、目标识别、物体运动轨迹等等。TSINGSEE青犀视频基于多年视频领域的技术经验积累,在人工智能技术+视频领域,也不断研发,将AI检测、智能识别技术融合到各个视频应用场景中,如:安防监控、视频中的人脸检测、人流量统计、危险行为(攀高、摔倒、推搡等)检测识别等。
典型的示例如EasyCVR视频融合云服务,具有AI人脸识别、车牌识别、语音对讲、云台控制、声光告警、监控视频分析与数据汇总的能力。
![干货丨人工智能 、机器学习、深度学习、神经网络,都有什么区别?]()
人工智能在行业应用上包括智能机器人、智能驾驶、无人机、AR/VR、大数据及数据服务、各类垂直领域应用等。人工智能在安防领域的应用主要包括警用和民用两个方向。利用人工智能技术实时分析图像和视频内容,可以识别人员、车辆信息、追踪嫌疑人,也可以通过视频检索从海量图片和视频库中对犯罪嫌疑人进行检索比对,为各类案件侦查节省宝贵时间。例如,TSINGSEE青犀视频旗下各安防视频监控管理平台在各类安防监控场景中获得了较为广为的应用。在民用方向,利用人工智能可以实现智能楼宇和工业园区的智能监控。