国产免费工作流引擎 star 6.5k,Warm-Flow 升级 1.7.2(新增案例和修复缺陷)
主要更新内容
- [feat] 开启流程实例,新增流程定义是否存在校验
 - [feat] 新增合同签订流程案例
 - [feat] 新增企业采购流程案例
 - [update] mybatis-plus逻辑删除,删除值和未删除值强制设置为0和1
 - [update] 合并流程变量方法改成public修饰
 - [update] 如果没有网关,是驳回跳转线,跳转条件会默认加上
undefined@@| - [fix] 修复办理人列表中只有一个办理人时,删除按钮消失的问题
 - [fix] 修复设计器办理人默认为“用户”问题
 - [fix] 修复办理人列表名称回显报错问题
 
合同签订流程案例
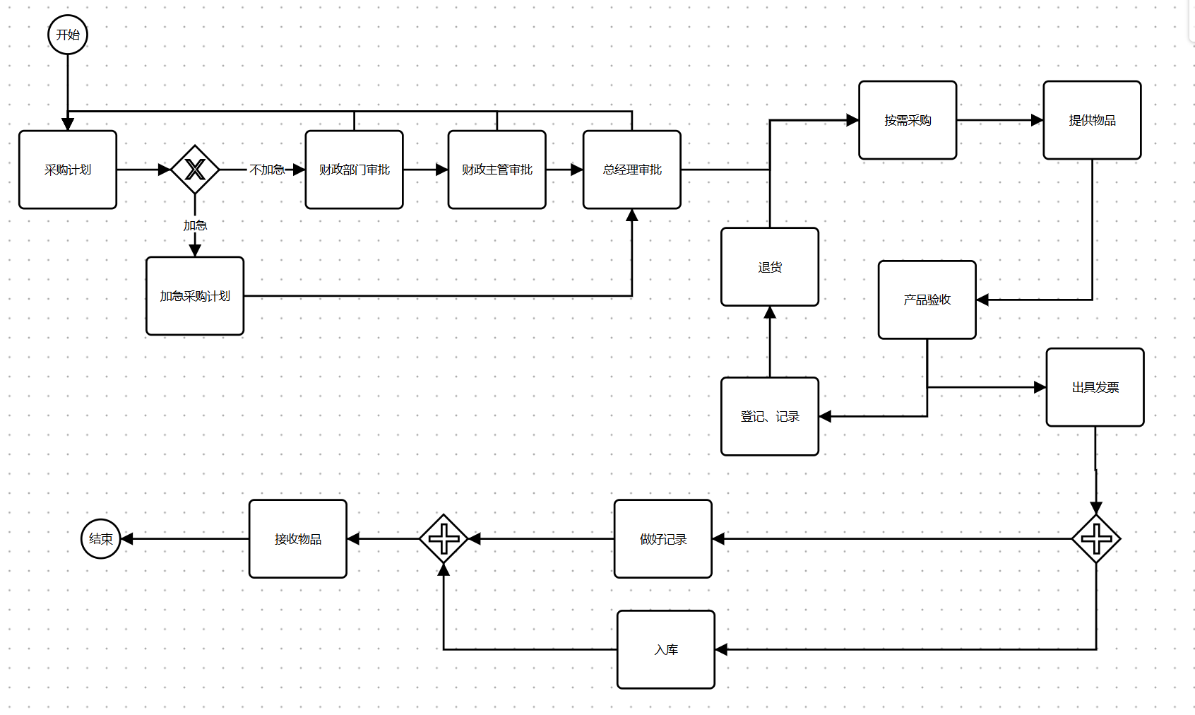
企业采购流程案例
项目介绍
Dromara Warm-Flow国产工作流引擎,其特点简洁轻量,五脏俱全,灵活扩展性强,是一个可通过jar引入设计器的工作流。
- 支持常见审批功能、监听器与流程变量、条件表达式、办理人表达式
 - 自带流程图、流程设计器、节点扩展属性
 - 支持常见的orm框架
 - 支持不同的数据库
 - 生态丰富可扩展,文档全面
 
功能思维导图
设计器
流程图
演示地址
账号密码:admin/admin123
官网
Warm-Flow视频
关注公众号
					低调大师中文资讯倾力打造互联网数据资讯、行业资源、电子商务、移动互联网、网络营销平台。
持续更新报道IT业界、互联网、市场资讯、驱动更新,是最及时权威的产业资讯及硬件资讯报道平台。
转载内容版权归作者及来源网站所有,本站原创内容转载请注明来源。
- 
							
								
								    上一篇
								    
								
								🔥 Java 的 LLM 框架,Agents-Flex v1.0.9 发布
Agents-Flex: 一个基于 Java 的 LLM 应用开发及编排框架。 经过近 1 年的开发和迭代,Agents-Flex 发布了 30+ 个版本,终于迎来了 v1.0.0 正式版本。 与此同时,基于 Agents-flex 开发的对标 Dify Coze 等产品的 AIFlowy 也正式对外开源,开源地址:https://gitee.com/aiflowy/aiflowy Agents-Flex 的基本能力 LLM 的访问能力 Prompt、Prompt Template 定义加载的能力 Function Calling 定义、调用和执行等能力 记忆的能力(Memory) Embedding Vector Store 文档处理 加载器(Loader) Http FileSystem 分割器(Splitter) 解析器(Parser) PoiParser PdfBoxParser Chain 执行链 SequentialChain 顺序执行链 ParallelChain 并发(并行)执行链 LoopChain 循环执行连 ChainNode 简单对话 使用 OpenAi 大语言...
 - 
							
								
								    下一篇
								    
								
								🔥 对标字节的 Flowgram,Tinyflow v0.1.10 发布
Tinyflow Tinyflow 是一个轻量的 AI 智能体解决方案,她不是一个 ” 产品 “,而是一个开发组件。 通过集成 Tinyflow,您可以使得任何的传统应用,具备 AI 智能体编排的能力。 特性 Tinyflow 前端基于 Web Component 开发,因此支持 React、Vue、Angular、Svelte 等任何框架,当然也包括 原生的 HTML、CSS、JavaScript。 后端支持 Java(不限制框架)、Python、Node.js 等语言。 Tinyflow 和 Flowgram 对比 1、Tinyflow 基于 Web Component 开发,支持 React、Vue、Angular、Svelte 以及原始 js。Flowgram 仅支持在 React 下使用。 2、Tinyflow 拥有前端编排组件、后端运行 SDK 整体解决方案,Flowgram 只有前端组件。 3、其他更多的能力细节对比,近期推出。 快速开始 前端 npm install @tinyflow-ai/ui import { Tinyflow } from 'tinyfl...
 
相关文章
文章评论
共有0条评论来说两句吧...

			
				
				
				
				
				
				
				
微信收款码
支付宝收款码