MoE模型性能还能更上一层楼?一次QLoRA微调实践
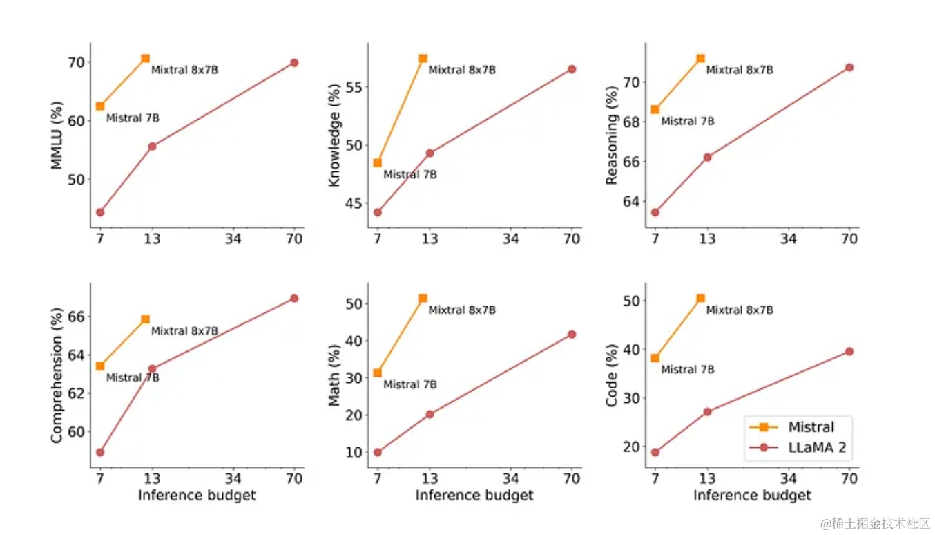
Fine-Tuning Mixtral 8x7B with QLoRA:Enhancing Model Performance 🚀 编者按:最近,混合专家(Mixture of Experts,MoE)这种模型设计策略展现出了卓越的语言理解能力,如何在此基础上进一步提升 MoE 模型的性能成为业界热点。 本文作者使用一种名为 QLoRA 的方法,通过量化和 LoRA 技术对 MoE 模型 Mixtral-8x7B 进行微调,以期大幅提高其性能。 作者详细阐明这种方法的诸多优势,包括显著增强 MoE 模型的理解生成能力、计算效率更高等。文中还逐步介绍了使用 QLoRA 微调 Mixtral-8x7B 的全过程。 本文探索了使用 QLoRA 推动 MoE 模型的性能改进这一技术方案。期待未来更多关于 MoE 模型的性能改进方案出现! 一、简介 目前整个业界都希望经过优化的模型能够表现出卓越的性能,这一追求不断推动着自然语言理解(natural language understanding)的发展。Mixtral-8x7B Mixture of Experts(MoE)模型就是其中之一,该...


