首页 文章 精选 留言 我的
优秀的个人博客,低调大师

微信关注我们

原文链接:https://www.oschina.net/news/171297

转载内容版权归作者及来源网站所有!

低调大师中文资讯倾力打造互联网数据资讯、行业资源、电子商务、移动互联网、网络营销平台。持续更新报道IT业界、互联网、市场资讯、驱动更新,是最及时权威的产业资讯及硬件资讯报道平台。

谈谈 Git 分支管理的本质

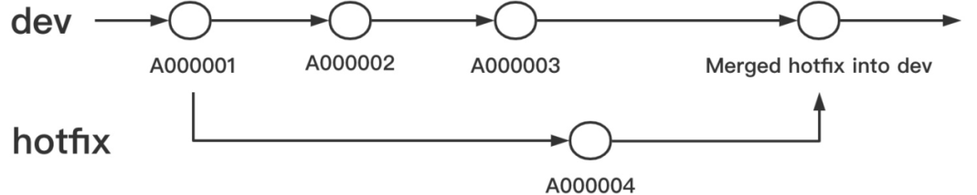
想了想工作两年中自己做的事情,发现这方面还算不错,所以拎出来说说自己对 Git 的一些理解。 粗略浏览了一下网上存在的 Git 相关的中文文章,大多数是介绍 Git 的一些命令怎么使用,或者是介绍 Git 分支管理策略里有哪些类型的分支,似乎没有一篇文章是在解释为什么要这么做。 我想从这个角度来写一篇文章,记录 Git 分支管理里那些最本质的思想,如果在学习过程中能够直观性了解到这个层面,在学习任何东西时,都会有事半功倍的效果吧。 为什么有 hotfix 分支 我们先来看看为什么有 hotfix 分支。 假设我们只有一条分支 dev,最新的提交记录是 A000001,以该提交记录打了一个 tag 1.0,然后我们基于这个节点的版本发布了系统。 我们继续在 dev 分支上继续开发,有了 A000002、A000003 两个新的提交记录,在这个时候线上系统发现了一个 BUG ,我们要如何修复? 如果是单独的一个 dev 分支,我们可以回滚到 A000001 这个时候的版本修复 BUG,提交记录为 A000004,然后部署生产版本。那么此时就有一个问题,A000002 和 A000003 的...

JPower v2.1.0 发布 重新实现 TREE 查询,MP 增强

https://gitee.com/gdzWork/JPower JPower 只是刚起步,很多功能还在开发中敬请期待...... 简介 JPower是由一款政务商业项目升级优化而来。 JPower 基于SpringCloud(2020.0.x) + SpringBoot(2.4.x)的微服务快速开发平台. 具备网关统一鉴权、Xss防跨站攻击、分布式事务等多个模块,支持多业务系统并行开发, 支持多服务并行开发,可以作为后端服务的开发脚手架。代码简洁,注释齐全,架构清晰,非常适合学习和作为基础框架使用。 JPower 的目标蓝图是能够打造一款集成各种比较好用的工具于一体的快速开发框架,例如可在页面配置各种报表,集成echarts可实现快速生成页面,各种场景下的数据传输等等各类工具。 目前只是开发了基础的架构,后续会逐渐开发各种各样的工具到框架中。 核心技术采用Spring Cloud Alibaba、SpringBoot、Mybatis、Seata、Sentinel、SkyWalking等主要框架和中间件。 希望能努力打造一套集 基础框架 —>分布式微服务...

相关文章

发表评论

资源下载

更多资源
Nacos

Nacos

Nacos /nɑ:kəʊs/ 是 Dynamic Naming and Configuration Service 的首字母简称,一个易于构建 AI Agent 应用的动态服务发现、配置管理和AI智能体管理平台。Nacos 致力于帮助您发现、配置和管理微服务及AI智能体应用。Nacos 提供了一组简单易用的特性集,帮助您快速实现动态服务发现、服务配置、服务元数据、流量管理。Nacos 帮助您更敏捷和容易地构建、交付和管理微服务平台。

Spring

Spring

Spring框架(Spring Framework)是由Rod Johnson于2002年提出的开源Java企业级应用框架,旨在通过使用JavaBean替代传统EJB实现方式降低企业级编程开发的复杂性。该框架基于简单性、可测试性和松耦合性设计理念,提供核心容器、应用上下文、数据访问集成等模块,支持整合Hibernate、Struts等第三方框架,其适用范围不仅限于服务器端开发,绝大多数Java应用均可从中受益。

Sublime Text

Sublime Text

Sublime Text具有漂亮的用户界面和强大的功能,例如代码缩略图,Python的插件,代码段等。还可自定义键绑定,菜单和工具栏。Sublime Text 的主要功能包括:拼写检查,书签,完整的 Python API , Goto 功能,即时项目切换,多选择,多窗口等等。Sublime Text 是一个跨平台的编辑器,同时支持Windows、Linux、Mac OS X等操作系统。

WebStorm

WebStorm

WebStorm 是jetbrains公司旗下一款JavaScript 开发工具。目前已经被广大中国JS开发者誉为“Web前端开发神器”、“最强大的HTML5编辑器”、“最智能的JavaScript IDE”等。与IntelliJ IDEA同源,继承了IntelliJ IDEA强大的JS部分的功能。

用户登录
用户注册