原创 | git rebase的时候捅娄子了,怎么办?在线等……
点击上方蓝字,关注并星标,和我一起学技术。
大家在使用git的过程当中有闯过祸吗?
我闯过,我闯的第一个祸就是使用git rebase造成的,虽然后来最终还是解决了,但是还是给我吓得不轻。当时的事情是这样的。
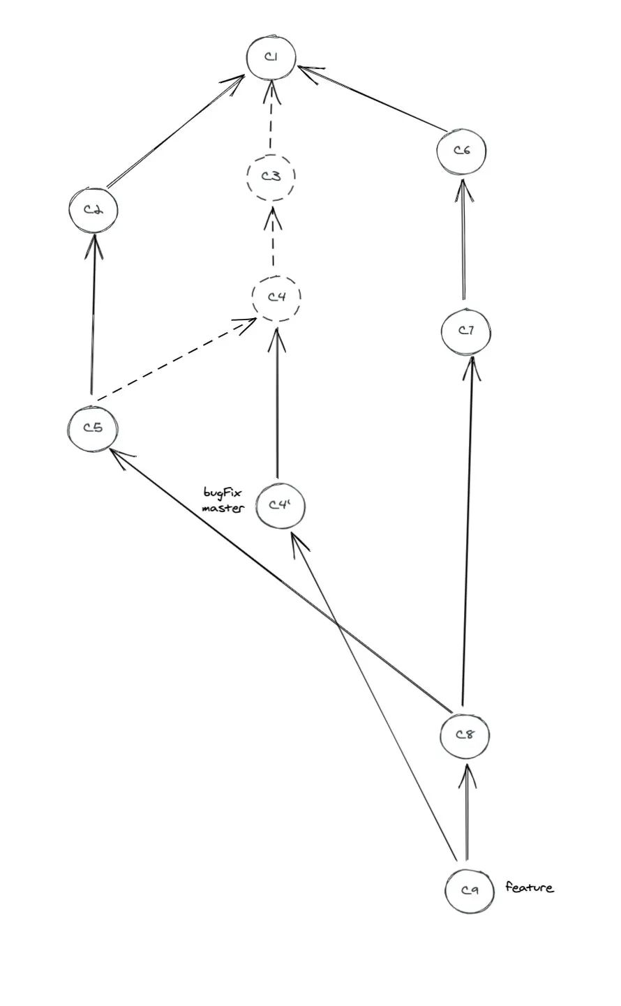
我们来看下这张图:
简单解释一下这张图当中的内容,C1节点是所有分支的最小公共祖先。可以理解成是最早的master版本,之后我们checkout出来了两个分支,分别是bugFix和feature。其中feature是我们新开发的分支,而bugFix是修复bug的分支。
当我们把bugFix了之后就赶紧merge master发布了,当我们发布了之后发现bugFix当中有一点小问题。比如说把不应该提交的文件提交了上来,再加上我们不是用rebase的形式合并的,所以看起来commit记录有一点点乱。于是我决定使用rebase修复一下提交记录,搞完了之后使用git push -f强行更新了远程分支。
因为我们之前已经push过了,想要用新的commit记录覆盖掉旧的就必须要使用-f强行推送。这些操作都是常规的操作,但是我无意之间犯了一个大问题,差点导致了后面的悲剧。
我先卖个关子,大家先用几秒钟时间想一下,这里藏着的问题是什么?
rebase的禁忌
这里藏着的问题就是feature分支,我们从图中可以看到feature分支是merge了C5节点的。但是当我们rebase push -f了之后,C5节点其实就不存在了。我们把图画出来给大家看一下就明白了,这个是rebase之前的依赖树:
我们rebase之后依赖树变成了这样:
由于feature之前曾经merge过master并且依赖了C5节点,而master在rebase强行push之后整个链路当中已经没有C5节点了。也就是说feature分支依赖了一个已经不存在的节点,这个时候还不算太遭,因为feature分支还没有更新,如果feature分支pull一下,那么整个分支会变成这样:
也就是说同样的代码在feature分支当中保存了两个版本,并且如果feature合并进master之后,会发现之前push -f强行抛弃的那些提交又被合并了进来,并且整个commit的log会变得非常非常混乱,难以看懂。
如果这些分支都是自己的,那么自己捏了鼻子也就算了,如果这些分支是团队当中其他人的,那么捅个篓子基本上是避免不了的。如果组里有一个Git大佬知道这种情况该怎么解决还好,否则的话,想要完全复原非常困难,很有可能一通操作完全不知道偏差到哪里去了,也不知道如何找回来。
我当时还好,捅娄子的时候已经学过了这种情况应该怎么处理,虽然还是没能避免踩坑,但好在及时从坑里出来了。在我们来看脱坑的方法之前,先来思考一个问题,对于rebase造成混乱的根源究竟是什么,我们应该怎么避免?
解决rebase的只有rebase
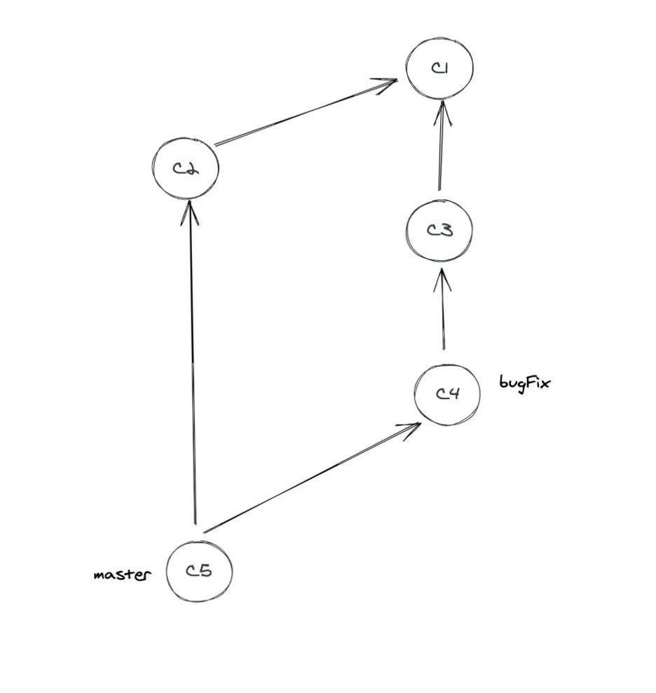
为什么我们刚才在C8节点一旦pull就会导致本地的错乱呢?因为我们之前也介绍过,当我们执行pull的时候,其实是执行了git fetch和git merge两个步骤。所以相当于我们把master分支的改动又merge了一次,我们本地依赖了rebase之前的改动,这样一merge自然就把两个版本的改动merge在一起了。
要解决这个问题,我们就不能在C8节点的时候进行pull操作,因为pull操作包含merge,merge会导致错误。要解决这个问题其实也不难,我们可以rebase到master上。当我们执行rebase的时候,git会找出我们当前分支独有而master分支上没有的改动,将这些改动提取出来应用在master上得到一个新的结果。
这样我们的记录当中就不会把C2和C5带进来了。
发散思考
我们贯通思考一下上面的过程,会得到一个什么结论?
其实结论很简单,就是rebase虽然很好用也很方便,但是它也有适用的条件,其中最大的条件就是如果还有其他分支依赖了当前分支,我们这时候不可以使用rebase,否则一定会引起错乱。
那引起错乱的原因又是什么呢?本质上是我们rebase的时候修改了commit的记录,关于这一点不同的人有不同的观点。有一派人认为git的提交记录是不可以篡改的,它存在的意义就是记录repo当中所有发生过的改动。如果使用rebase等操作进行了篡改,那么我们就不能很好地追溯之前的改动和版本了。还有一派人不这么看,他们觉得如果记录的改动非常混乱非常不方便使用者阅读,这时候使用一些方法对它进行修整就是非常有必要的事情。工具发明出来就是为了使用的。
这两派争论不休,不同的人有不同的看法,可以说是一个价值观问题也不为过。在这个问题上我个人更加偏向后者, 既然有这么好用的工具,自然应该使用的。使用不是滥用,我们需要遵守一定的规范,这样才能保证不会捅出篓子来。比如一定不可以在下游还有其他依赖的情况下使用rebase,否则几乎可以肯定是一定会捅娄子的。
今天的文章就到这里,衷心祝愿大家每天都有所收获。如果还喜欢今天的内容的话,请来一个三连支持吧~(点赞、在看、转发)
- END -本文分享自微信公众号 - TechFlow(techflow2019)。
如有侵权,请联系 support@oschina.cn 删除。
本文参与“OSC源创计划”,欢迎正在阅读的你也加入,一起分享。
