【手撕算法】C++实现超像素分割算法
点击上方"蓝色小字"关注我呀
再有就是区域生长这类的;
以及分水岭算法,分水岭算法代码写好有一段时间了,但实在不知道文章咋写...就再放放吧;最后就是超像素分割了,超像素分割有k-means算法的影子,所以可以先看看k-means算法的代码实现过程。
初始化种子点(聚类中心):按照设定的超像素个数,在图像内均匀的分配种子点。假设图片总共有 N 个像素点,预分割为 K 个相同尺寸的超像素,那么每个超像素的大小为N/ K ,则相邻种子点的距离(步长)近似为S=sqrt(N/K)。
在种子点的n*n邻域内重新选择种子点(一般取n=3)。具体方法为:计算该邻域内所有像素点的梯度值,将种子点移到该邻域内梯度最小的地方。这样做的目的是为了避免种子点落在梯度较大的轮廓边界上,以免影响后续聚类效果。
在每个种子点周围的邻域内为每个像素点分配类标签(即属于哪个聚类中心)。和标准的k-means在整张图中搜索不同,SLIC的搜索范围限制为2S2S,可以加速算法收敛,如下图。在此注意一点:期望的超像素尺寸为SS,但是搜索的范围是2S*2S。
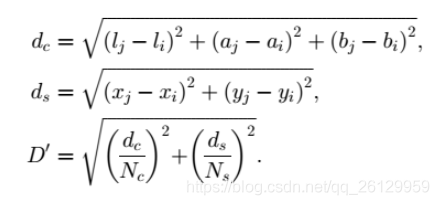
距离度量。包括颜色距离和空间距离。对于每个搜索到的像素点,分别计算它和该种子点的距离。距离计算方法如下:
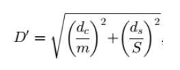
其中,dc代表颜色距离,ds代表空间距离,Ns是类内最大空间距离,定义为Ns=S=sqrt(N/K),适用于每个聚类。最大的颜色距离Nc既随图片不同而不同,也随聚类不同而不同,所以我们取一个固定常数m(取值范围[1,40],一般取10)代替。最终的距离度量D’如下:
由于每个像素点都会被多个种子点搜索到,所以每个像素点都会有一个与周围种子点的距离,取最小值对应的种子点作为该像素点的聚类中心。
迭代优化。理论上上述步骤不断迭代直到误差收敛(可以理解为每个像素点聚类中心不再发生变化为止),实践发现10次迭代对绝大部分图片都可以得到较理想效果,所以一般迭代次数取10。
-
增强连通性。经过上述迭代优化可能出现以下瑕疵:出现多连通情况、超像素尺寸过小,单个超像素被切割成多个不连续超像素等,这些情况可以通过增强连通性解决。主要思路是:新建一张标记表,表内元素均为-1,按照“Z”型走向(从左到右,从上到下顺序)将不连续的超像素、尺寸过小超像素重新分配给邻近的超像素,遍历过的像素点分配给相应的标签,直到所有点遍历完毕为止。
程序声明了一个SLIC算法类,类的具体程序太长了,就不贴了,大家可以去qq群下载程序自己看,都注释好了。
就看一下主程序吧:
int main(){【1】读取原图并显示Mat image = imread("千矢.png",33);if (image.empty()){printf_s("图片读取失败");return -1;}imshow("原图", image);【2】转换为LAB颜色空间 方便计算距离Mat lab_image = image.clone();cvtColor(image, lab_image, COLOR_BGR2Lab);//定义超像素数以及权重int w = image.cols, h = image.rows;int nr_superpixels = 300;//超像素数int nc = 40;//权重mdouble step = sqrt((w * h) / (double)nr_superpixels);【3】执行SLIC超像素算法SLIC slic;slic.generate_superpixels(&lab_image, step, nc);slic.create_connectivity(&lab_image);【4】显示分割轮廓和分割结果图//该三个函数可以分别注释单独显示查看slic.colour_with_cluster_means(&image);//颜色均值填充slic.display_contours(&image, Scalar(0, 0, 255));//显示轮廓//slic.display_center_grid(&image, Scalar(255, 0, 0));//显示中心点imshow("result", image);waitKey(0);}
一共是四个步骤。其中步骤【2】中需要自己定义两个变量nr_superpixels和nc。
nr_superpixels为超像素个数,你可以根据图像大小自己定义,如果图像x方向10个超像素块,y方向30个超像素块,那就是300。
权重变量nc,即上文【算法原理】第4步中的固定常数m,一般取1-40范围内的整数。
本文原创内容有限,就是整合了一下自己看的超像素分割的博客,两篇不错的链接放这儿了:
https://blog.csdn.net/zhj_matlab/article/details/52986700https://blog.csdn.net/qq_26129959/article/details/90760028
代码放qq群了,今天就到这里啦。
本文分享自微信公众号 - Opencv视觉实践(gh_31e12b1be0e0)。
如有侵权,请联系 support@oschina.cn 删除。
本文参与“OSC源创计划”,欢迎正在阅读的你也加入,一起分享。







