一、什么是Bloom Filter
Bloom Filter是一种空间效率很高的随机数据结构,它的原理是,当一个元素被加入集合时,通过K个Hash函数将这个元素映射成一个位阵列(Bit array)中的K个点,把它们置为1。检索时,我们只要看看这些点是不是都是1就(大约)知道集合中有没有它了:如果这些点有任何一个0,则被检索元素一定不在;如果都是1,则被检索元素很可能在。这就是布隆过滤器的基本思想。
但Bloom Filter的这种高效是有一定代价的:在判断一个元素是否属于某个集合时,有可能会把不属于这个集合的元素误认为属于这个集合(false positive)。因此,Bloom Filter不适合那些“零错误”的应用场合。而在能容忍低错误率的应用场合下,Bloom Filter通过极少的错误换取了存储空间的极大节省。
有人可能想知道它的中文叫法,倒是有被译作称布隆过滤器。该不该译,译的是否恰当,由诸君品之。下文之中,如果有诸多公式不慎理解,也无碍,只作稍稍了解即可。
1.1、集合表示和元素查询
下面我们具体来看Bloom Filter是如何用位数组表示集合的。初始状态时,Bloom Filter是一个包含m位的位数组,每一位都置为0。
![]()
为了表达S={x1, x2,…,xn}这样一个n个元素的集合,Bloom Filter使用k个相互独立的哈希函数(Hash Function),它们分别将集合中的每个元素映射到{1,…,m}的范围中。对任意一个元素x,第i个哈希函数映射的位置hi(x)就会被置为1(1≤i≤k)。注意,如果一个位置多次被置为1,那么只有第一次会起作用,后面几次将没有任何效果。在下图中,k=3,且有两个哈希函数选中同一个位置(从左边数第五位,即第二个“1“处)。
![]()
在判断y是否属于这个集合时,我们对y应用k次哈希函数,如果所有hi(y)的位置都是1(1≤i≤k),那么我们就认为y是集合中的元素,否则就认为y不是集合中的元素。下图中y1就不是集合中的元素(因为y1有一处指向了“0”位)。y2或者属于这个集合,或者刚好是一个false positive。
![]()
1.2、错误率估计
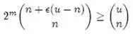
前面我们已经提到了,Bloom Filter在判断一个元素是否属于它表示的集合时会有一定的错误率(false positive rate),下面我们就来估计错误率的大小。在估计之前为了简化模型,我们假设kn<m且各个哈希函数是完全随机的。当集合S={x1, x2,…,xn}的所有元素都被k个哈希函数映射到m位的位数组中时,这个位数组中某一位还是0的概率是:
![]()
其中1/m表示任意一个哈希函数选中这一位的概率(前提是哈希函数是完全随机的),(1-1/m)表示哈希一次没有选中这一位的概率。要把S完全映射到位数组中,需要做kn次哈希。某一位还是0意味着kn次哈希都没有选中它,因此这个概率就是(1-1/m)的kn次方。令p = e-kn/m是为了简化运算,这里用到了计算e时常用的近似:
![]()
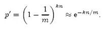
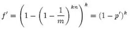
令ρ为位数组中0的比例,则ρ的数学期望E(ρ)= p’。在ρ已知的情况下,要求的错误率(false positive rate)为:
![]()
(1-ρ)为位数组中1的比例,(1-ρ)k就表示k次哈希都刚好选中1的区域,即false positive rate。上式中第二步近似在前面已经提到了,现在来看第一步近似。p’只是ρ的数学期望,在实际中ρ的值有可能偏离它的数学期望值。M. Mitzenmacher已经证明[2] ,位数组中0的比例非常集中地分布在它的数学期望值的附近。因此,第一步的近似得以成立。分别将p和p’代入上式中,得:
![]()
![]()
相比p’和f’,使用p和f通常在分析中更为方便。
1.3、最优的哈希函数个数
既然Bloom Filter要靠多个哈希函数将集合映射到位数组中,那么应该选择几个哈希函数才能使元素查询时的错误率降到最低呢?这里有两个互斥的理由:如果哈希函数的个数多,那么在对一个不属于集合的元素进行查询时得到0的概率就大;但另一方面,如果哈希函数的个数少,那么位数组中的0就多。为了得到最优的哈希函数个数,我们需要根据上一小节中的错误率公式进行计算。
先用p和f进行计算。注意到f = exp(k ln(1 − e−kn/m)),我们令g = k ln(1 − e−kn/m),只要让g取到最小,f自然也取到最小。由于p = e-kn/m,我们可以将g写成
![]()
根据对称性法则可以很容易看出当p = 1/2,也就是k = ln2· (m/n)时,g取得最小值。在这种情况下,最小错误率f等于(1/2)k≈ (0.6185)m/n。另外,注意到p是位数组中某一位仍是0的概率,所以p = 1/2对应着位数组中0和1各一半。换句话说,要想保持错误率低,最好让位数组有一半还空着。
需要强调的一点是,p = 1/2时错误率最小这个结果并不依赖于近似值p和f。同样对于f’ = exp(k ln(1 − (1 − 1/m)kn)),g’ = k ln(1 − (1 − 1/m)kn),p’ = (1 − 1/m)kn,我们可以将g’写成
![]()
同样根据对称性法则可以得到当p’ = 1/2时,g’取得最小值。
1.4、位数组的大小
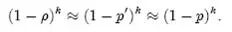
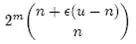
下面我们来看看,在不超过一定错误率的情况下,Bloom Filter至少需要多少位才能表示全集中任意n个元素的集合。假设全集中共有u个元素,允许的最大错误率为є,下面我们来求位数组的位数m。
假设X为全集中任取n个元素的集合,F(X)是表示X的位数组。那么对于集合X中任意一个元素x,在s = F(X)中查询x都能得到肯定的结果,即s能够接受x。显然,由于Bloom Filter引入了错误,s能够接受的不仅仅是X中的元素,它还能够є (u - n)个false positive。因此,对于一个确定的位数组来说,它能够接受总共n + є (u - n)个元素。在n + є (u - n)个元素中,s真正表示的只有其中n个,所以一个确定的位数组可以表示
![]()
个集合。m位的位数组共有2m个不同的组合,进而可以推出,m位的位数组可以表示
![]()
个集合。全集中n个元素的集合总共有
![]()
个,因此要让m位的位数组能够表示所有n个元素的集合,必须有
![]()
即:
![]()
上式中的近似前提是n和єu相比很小,这也是实际情况中常常发生的。根据上式,我们得出结论:在错误率不大于є的情况下,m至少要等于n log2(1/є)才能表示任意n个元素的集合。
上一小节中我们曾算出当k = ln2· (m/n)时错误率f最小,这时f = (1/2)k= (1/2)mln2 / n。现在令f≤є,可以推出
![]()
这个结果比前面我们算得的下界n log2(1/є)大了log2e≈ 1.44倍。这说明在哈希函数的个数取到最优时,要让错误率不超过є,m至少需要取到最小值的1.44倍。
1.5、概括
在计算机科学中,我们常常会碰到时间换空间或者空间换时间的情况,即为了达到某一个方面的最优而牺牲另一个方面。Bloom Filter在时间空间这两个因素之外又引入了另一个因素:错误率。在使用Bloom Filter判断一个元素是否属于某个集合时,会有一定的错误率。也就是说,有可能把不属于这个集合的元素误认为属于这个集合(False Positive),但不会把属于这个集合的元素误认为不属于这个集合(False Negative)。在增加了错误率这个因素之后,Bloom Filter通过允许少量的错误来节省大量的存储空间。
自从Burton Bloom在70年代提出Bloom Filter之后,Bloom Filter就被广泛用于拼写检查和数据库系统中。近一二十年,伴随着网络的普及和发展,Bloom Filter在网络领域获得了新生,各种Bloom Filter变种和新的应用不断出现。可以预见,随着网络应用的不断深入,新的变种和应用将会继续出现,Bloom Filter必将获得更大的发展。
二、适用范围
可以用来实现数据字典,进行数据的判重,或者集合求交集
三、基本原理及要点
对于原理来说很简单,位数组+k个独立hash函数。将hash函数对应的值的位数组置1,查找时如果发现所有hash函数对应位都是1说明存在,很明显这 个过程并不保证查找的结果是100%正确的。同时也不支持删除一个已经插入的关键字,因为该关键字对应的位会牵动到其他的关键字。所以一个简单的改进就是 counting Bloom filter,用一个counter数组代替位数组,就可以支持删除了。
还有一个比较重要的问题,如 何根据输入元素个数n,确定位数组m的大小及hash函数个数。当hash函数个数k=(ln2)*(m/n)时错误率最小。在错误率不大于E的情况 下,m至少要等于n*lg(1/E)才能表示任意n个元素的集合。但m还应该更大些,因为还要保证bit数组里至少一半为0,则m应 该>=nlg(1/E)*lge 大概就是nlg(1/E)1.44倍(lg表示以2为底的对数)。
举个例子我们假设错误率为0.01,则此时m应大概是n的13倍。这样k大概是8个。
注意这里m与n的单位不同,m是bit为单位,而n则是以元素个数为单位(准确的说是不同元素的个数)。通常单个元素的长度都是有很多bit的。所以使用bloom filter内存上通常都是节省的。
四、扩展
Bloom filter将集合中的元素映射到位数组中,用k(k为哈希函数个数)个映射位是否全1表示元素在不在这个集合中。Counting bloom filter(CBF)将位数组中的每一位扩展为一个counter,从而支持了元素的删除操作。Spectral Bloom Filter(SBF)将其与集合元素的出现次数关联。SBF采用counter中的最小值来近似表示元素的出现频率。
五、问题实例
给你A,B两个文件,各存放50亿条URL,每条URL占用64字节,内存限制是4G,让你找出A,B文件共同的URL。如果是三个乃至n个文件呢?
根据这个问题我们来计算下内存的占用,4G=2^32大概是40亿*8大概是340亿,n=50亿,如果按出错率0.01算需要的大概是650亿个bit。 现在可用的是340亿,相差并不多,这样可能会使出错率上升些。另外如果这些urlip是一一对应的,就可以转换成ip,则大大简单了。
长按或扫描关注我们,每天分享技术内容还有学习干货资料哦!~
![]()